Easily solve this kind of Differential Equations.
Method Solution: Step by Step
Procedure results and 100% reliable.
100% Offline (No Internet connection required)
Spanish Language.
Total steps: 20 to 24
Included:
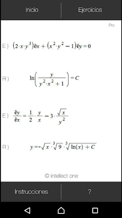
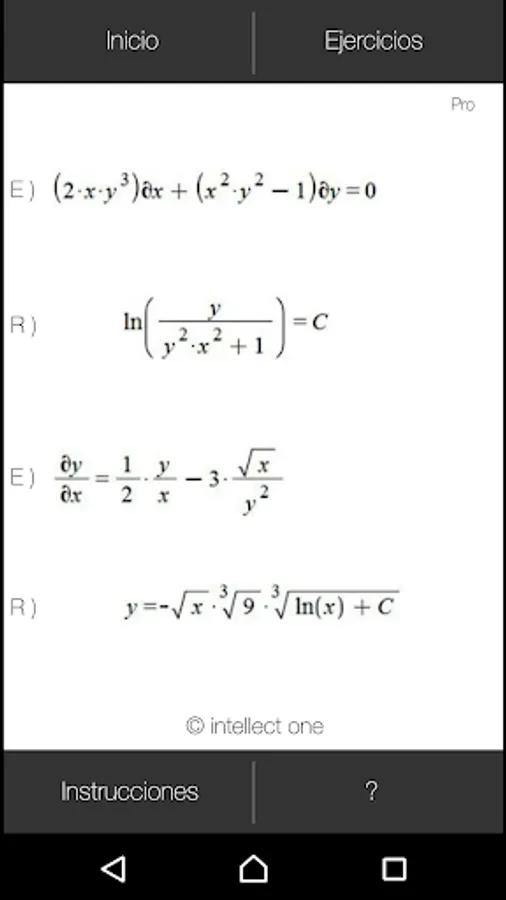
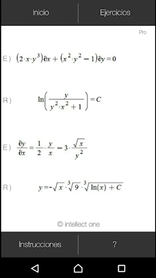
1) Check that it is a Quasi-Homogeneous E. D.
2) Selection of the variable.
3) Automatic selection or value manual.
4) Checking values.
5) Selection replacement.
6) Separation of variables.
7) implicit and explicit results.
8) Graphic address field
Troubleshoot books:
Luis Fernando Alvarez, Dennis G. Zill & Michael R. Culler, Spiegel, Blanchard, Devaney, Braun, Elsgoltz, Kiselyov, Krasnov, Marakenko, William E. Boyce, Steven Holzner, Shepley L. Ross, and many more.
Note: Names of other authors are solely for identification purposes.
Method Solution: Step by Step
Procedure results and 100% reliable.
100% Offline (No Internet connection required)
Spanish Language.
Total steps: 20 to 24
Included:
1) Check that it is a Quasi-Homogeneous E. D.
2) Selection of the variable.
3) Automatic selection or value manual.
4) Checking values.
5) Selection replacement.
6) Separation of variables.
7) implicit and explicit results.
8) Graphic address field
Troubleshoot books:
Luis Fernando Alvarez, Dennis G. Zill & Michael R. Culler, Spiegel, Blanchard, Devaney, Braun, Elsgoltz, Kiselyov, Krasnov, Marakenko, William E. Boyce, Steven Holzner, Shepley L. Ross, and many more.
Note: Names of other authors are solely for identification purposes.
Show More