Calculus 2 Solver icon

Calculus 2 Solver

Matt Education
Free (in-app purchases)
1,000+ downloads

About Calculus 2 Solver

- Solver for Problems in Sequences, Series and Infinite Series.
- Console to Solve Problems programmatically
-Convergence and Divergences tests Activities
- Problems to test Your Understanding

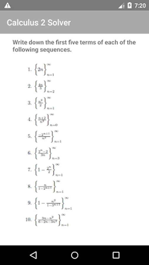
Calculus 2 Solver Screenshots