Having trouble with algebra?
Equations, inequalities and graphs leave you frustrated?
Tried to solve the problem but you're not sure you got it right?
Meet yHomework - the math solver that actually works 100% of the time!
No gimmicks, no fuss, no excuses - we simply give you the an instant full step-by-step solution and explanation.
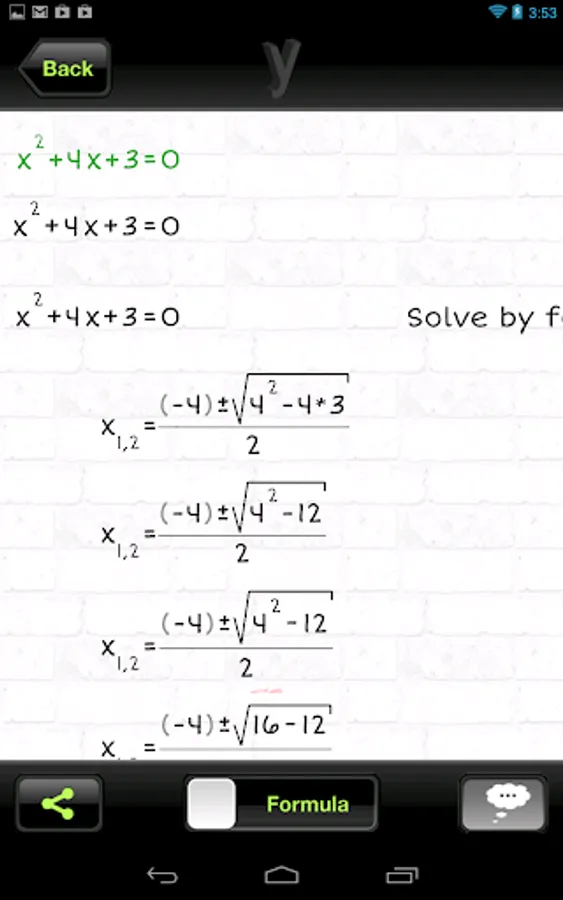
yHomework is an easy to use Math solver, just enter your question or equation, and the app will immediately give you the answer together with the full step-by-step solution!
Say you have: 3x+5=8
Not sure what to do next? Just type it into the app and get the step-by-step solution with just one click!
It's just that simple! 1.. 2.. 3.. and you're a math whiz!
OVER 3 MILLION USERS CAN'T BE WRONG! DOWNLOAD yHomework NOW!
Current material covers:
Simplification, single unknown equation, 2 equation sets, quadratic equations, radicals, Inequalities and function graphs, GCD/LCM, prime factorization, trig and more.
Questions? Comments? Contact us at: support@yhomework.com
Equations, inequalities and graphs leave you frustrated?
Tried to solve the problem but you're not sure you got it right?
Meet yHomework - the math solver that actually works 100% of the time!
No gimmicks, no fuss, no excuses - we simply give you the an instant full step-by-step solution and explanation.
yHomework is an easy to use Math solver, just enter your question or equation, and the app will immediately give you the answer together with the full step-by-step solution!
Say you have: 3x+5=8
Not sure what to do next? Just type it into the app and get the step-by-step solution with just one click!
It's just that simple! 1.. 2.. 3.. and you're a math whiz!
OVER 3 MILLION USERS CAN'T BE WRONG! DOWNLOAD yHomework NOW!
Current material covers:
Simplification, single unknown equation, 2 equation sets, quadratic equations, radicals, Inequalities and function graphs, GCD/LCM, prime factorization, trig and more.
Questions? Comments? Contact us at: support@yhomework.com
Show More