About Calculus Tutorial 12
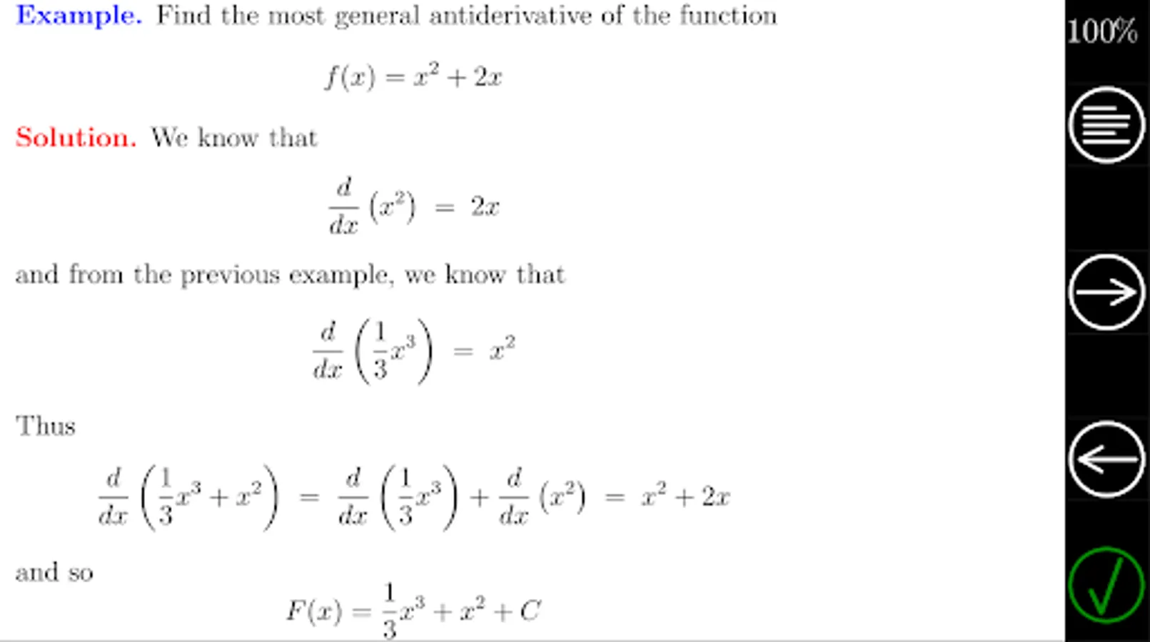
In this tutorial, we look at antidifferentiation, which is the opposite of differentiation. We then look at examples of the most general antiderivative of a function over an interval.
* Aimed at students in their final two years of high school.
* Studying mathematics is best done by working through examples and exercises. There are many interactive examples and exercises in this tutorial that must be completed to achieve 100% progress.
* Written by a Maths teacher with 20 years of teaching experience.
* Completely free (no Ads).
* Works without internet so that you can learn while travelling in the train, bus etc.
* Internet access only required for links to Privacy Policy and other tutorials.
* Made with GameMaker (www.yoyogames.com)
* Aimed at students in their final two years of high school.
* Studying mathematics is best done by working through examples and exercises. There are many interactive examples and exercises in this tutorial that must be completed to achieve 100% progress.
* Written by a Maths teacher with 20 years of teaching experience.
* Completely free (no Ads).
* Works without internet so that you can learn while travelling in the train, bus etc.
* Internet access only required for links to Privacy Policy and other tutorials.
* Made with GameMaker (www.yoyogames.com)