By entering launch speed and launch angle values you can obtain the value of:
-The perpendicular components of the initial velocity
-Time for maximum height and maximum height (if it is not a horizontal launch or a launch below the horizontal)
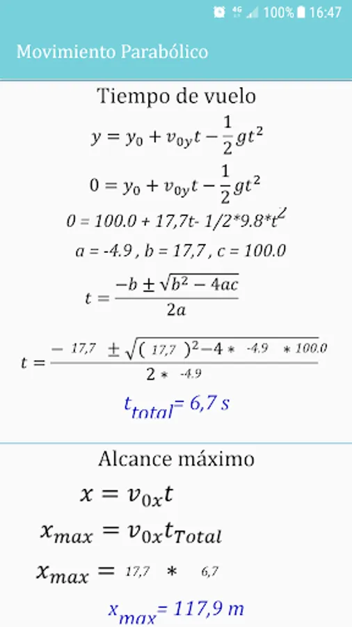
-The flight time (time that the mobile remains in the air, time it takes to return to the ground).
-The maximum horizontal reach.
- If the launch angle is zero, it is solved as a horizontal launch exercise.
- Given a moment "t" you can get the speed and coordinates of the mobile at that moment.
You also have a useful graphic to visualize the trajectory of the projectile.
(Note: All data must be in the international measurement system)
As an aid, default values of the initial height (zero) and the acceleration of gravity (9.8 m / s2) are given, but these can be changed at your choice.
-The perpendicular components of the initial velocity
-Time for maximum height and maximum height (if it is not a horizontal launch or a launch below the horizontal)
-The flight time (time that the mobile remains in the air, time it takes to return to the ground).
-The maximum horizontal reach.
- If the launch angle is zero, it is solved as a horizontal launch exercise.
- Given a moment "t" you can get the speed and coordinates of the mobile at that moment.
You also have a useful graphic to visualize the trajectory of the projectile.
(Note: All data must be in the international measurement system)
As an aid, default values of the initial height (zero) and the acceleration of gravity (9.8 m / s2) are given, but these can be changed at your choice.
Show More