OnTRACK icon

OnTRACK

Creare
Free
5+ downloads

About OnTRACK

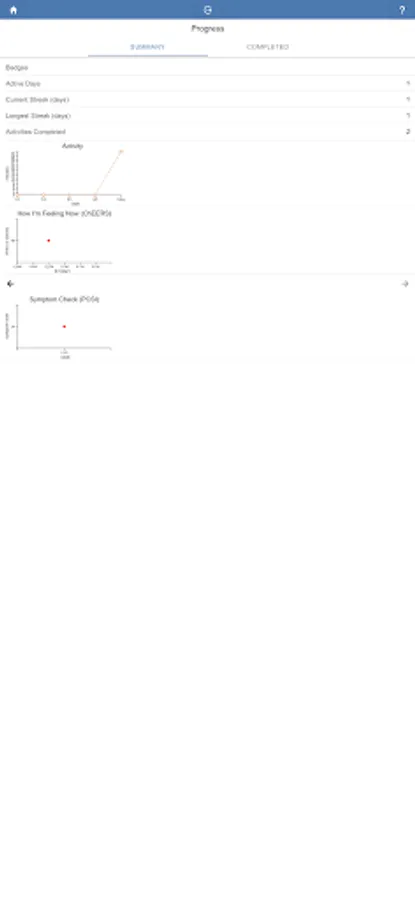
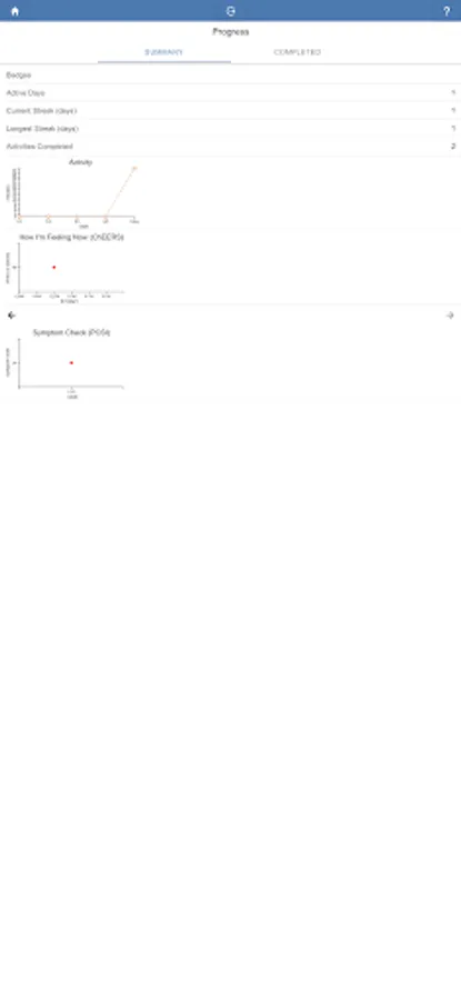
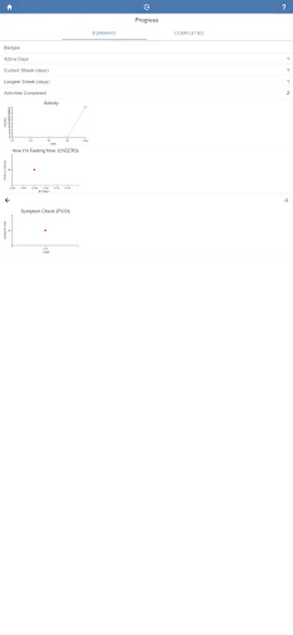
Online Treatment Recovery Assistance for Concussion in Kids (OnTrack) App assists children and adolescents recovering from concussion or mild traumatic brain injury (mTBI). The app enables patients, parents, school staff, and other authorized members of the patient care team to collect and share with clinicians post-concussion symptoms progress through cross-recovery graded symptom surveys. The survey ratings track overall recovery progress and short-term daily dynamic exertional symptom responses to guide activity. Patients, parents, and authorized educators review the ratings, visualize progress and receive feedback from the healthcare provider, providing some measure of awareness during a recovery that often feels without control. The patient, parent, and teacher users have access to short educational animations online to help understand concussion recovery.

OnTRACK Screenshots