About UNBK IPA SMA / MA and Complete Discussion
Application of UNBK IPA SMA / MA questions and complete discussion. This application contains practice questions to face the computer-based national exam. With this application you can more easily learn wherever you are and be more practical. this application you can use as a learning tool to attend UNBK later so that you can be confident and ready. Hopefully this application can help high school / MA students to study and be ready to face the computer-based national final exam.
As for the material discussed in the application of the UNBK IPA High School / MA exercise questions, these are:
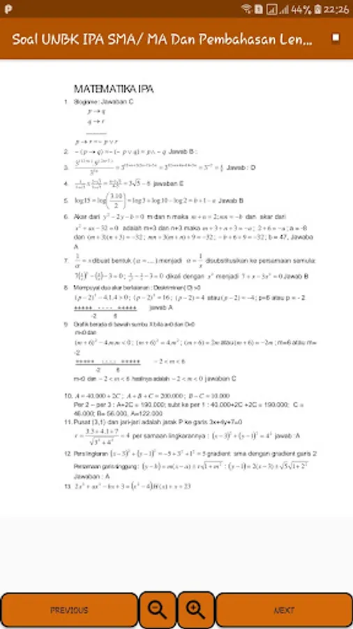
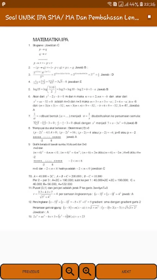
1. Mathematics questions and their discussion
2. Problem Biology and its discussion
3. Problem Physics and its discussion
4. About the Indonesian Language and its discussion
5. English Problems and their discussion
6. Chemical Problems and their discussion
Application of UNBK IPA SMA / MA questions and complete discussion. This application contains practice questions to face the computer-based national exam. With this application you can more easily learn wherever you are and be more practical. this application you can use as a learning tool to attend UNBK later so that you can be confident and ready. Hopefully this application can help high school / MA students to study and be ready to face the computer-based national final exam.
As for the material discussed in the application of the UNBK IPA High School / MA exercise questions, these are:
1. Mathematics questions and their discussion
2. Problem Biology and its discussion
3. Problem Physics and its discussion
4. About the Indonesian Language and its discussion
5. English Problems and their discussion
6. Chemical Problems and their discussion
Show More