Arbitrary Triangle Calculator
GSLstudios
10+
downloads
Free
+ in-app
About Arbitrary Triangle Calculator
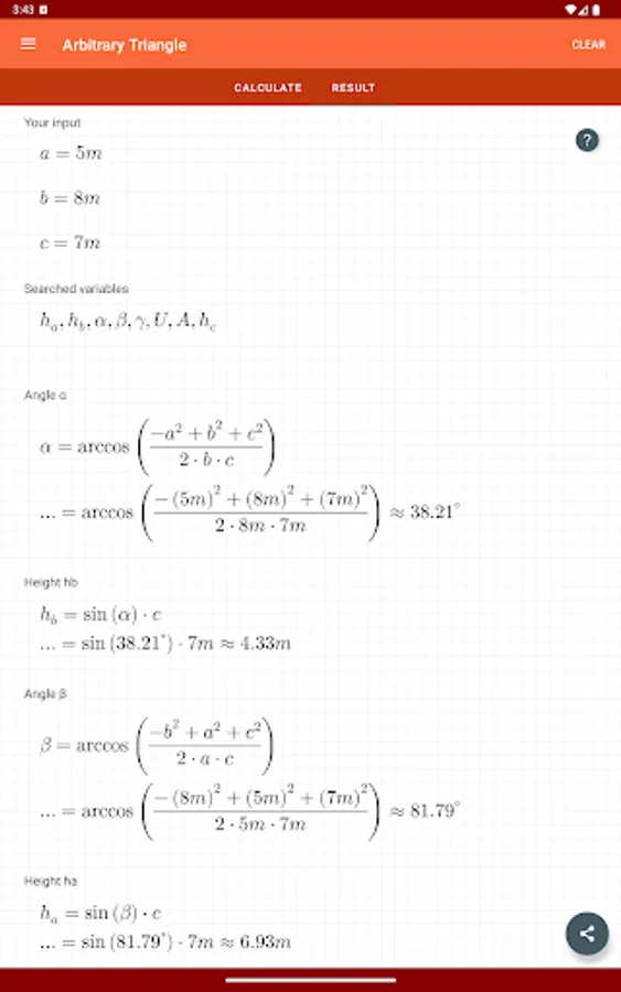
Calculate all quantities of an arbitrary triangle step-by-step with this easy geometry calculator.
Enter known values like two angles, side lengths, perimeter, area, and the app displays all formulas to calculate missing quantities
Solutions are shown step-by-step. Share your final results easily.
🔹 Key Features:
- calculate all important triangle quantities
- formulas and infographic explanations
- adjustable decimal precision
- step-by-step detailed solution
- share full solutions
👤 Suitable for:
- students
- pupils
- teachers
- parents
🎯 Perfect for:
- homework
- learning geometry
- lesson preparation
- task checking
Download now and master arbitrary triangle calculations with this smart math tool for geometry!
Enter known values like two angles, side lengths, perimeter, area, and the app displays all formulas to calculate missing quantities
Solutions are shown step-by-step. Share your final results easily.
🔹 Key Features:
- calculate all important triangle quantities
- formulas and infographic explanations
- adjustable decimal precision
- step-by-step detailed solution
- share full solutions
👤 Suitable for:
- students
- pupils
- teachers
- parents
🎯 Perfect for:
- homework
- learning geometry
- lesson preparation
- task checking
Download now and master arbitrary triangle calculations with this smart math tool for geometry!