Buku Saku Matematika SMA icon

Buku Saku Matematika SMA

detiga media
Free
100+ downloads

About Buku Saku Matematika SMA

Math pocket book containing high school math summaries.
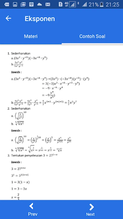
Equipped with material and examples of questions that will be very helpful in learning mathematics.

Buku Saku Matematika SMA Screenshots