ЗНО Математика icon

ЗНО Математика

Roman Svistel
Free
10,000+ downloads

About ЗНО Математика

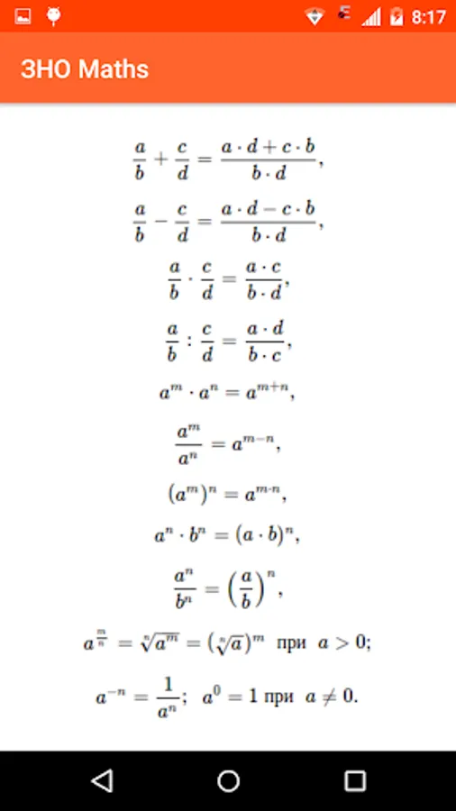
In this application you will find materials to prepare for testing in mathematics. Comfortable and concise rules, formulas and theorems. All this and more can be found in our application.
Good luck in training!

ЗНО Математика Screenshots