Algebra is the study of mathematical symbols and the rules for manipulating these symbols. Algebra is about finding the unknown or putting real-life problems into equations (algebraic expressions) and then solving them. It is used extensively in engineering, programming, navigation, science, physics, video games, etc.
Featurs & Advantages of "Algebra Formulas" app,
- This app is helpful for both students as well as professionals
- Contains formulas for both Algebra 1 & Algebra 2 classes for high school students
- Contains basic as well as advanced formulas with clear formatting
- Works without internet connection
- No annoying popup ads
"Algebra Formulas" android app contains below formulas:
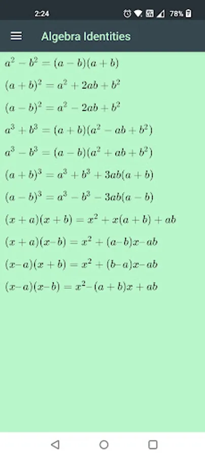
- Algebra Identities
- Roots of Quadratic Equation
- Laws of Exponents
- Arithmetic Progression
- Geometric Progression
- Algebra Properties
- Binomial Theorem
- Rules of Zero
- Factoring Formula
- Arithmetic Operations
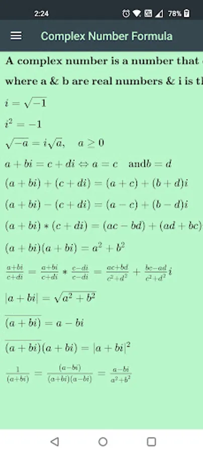
- Complex Numbers Formula
- Logarithm Properties
- Radical Properties
- Absolute Value Theorem
- Inequalities
Class 8, 9, 10, 11, 12 students in school and College/University students can use it in below scenarios,
- While completing their regular homework or assignment for Maths class
- Use as a reference sheet or guide during exam time to quickly refer the all mathematics algebra formula
Featurs & Advantages of "Algebra Formulas" app,
- This app is helpful for both students as well as professionals
- Contains formulas for both Algebra 1 & Algebra 2 classes for high school students
- Contains basic as well as advanced formulas with clear formatting
- Works without internet connection
- No annoying popup ads
"Algebra Formulas" android app contains below formulas:
- Algebra Identities
- Roots of Quadratic Equation
- Laws of Exponents
- Arithmetic Progression
- Geometric Progression
- Algebra Properties
- Binomial Theorem
- Rules of Zero
- Factoring Formula
- Arithmetic Operations
- Complex Numbers Formula
- Logarithm Properties
- Radical Properties
- Absolute Value Theorem
- Inequalities
Class 8, 9, 10, 11, 12 students in school and College/University students can use it in below scenarios,
- While completing their regular homework or assignment for Maths class
- Use as a reference sheet or guide during exam time to quickly refer the all mathematics algebra formula
Show More