SIMPLY CHECK MATH PROBLEMS
Your solution is wrong and you don't know where the error is. No problem with MyMathX you can compare your calculation path and find the error.
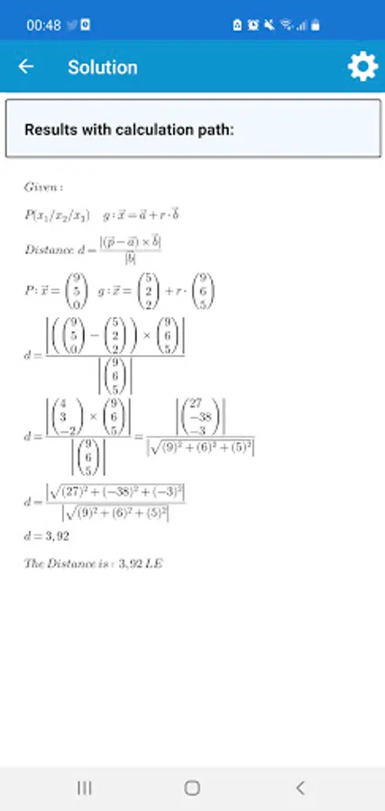
No matter if vector geometry, calculus or stochastics with MyMathX you solve all problems within seconds and get a detailed solution.
Learn to solve mathematical problems, check homework, and compare their calculation methods for curve discussion etc. for upcoming exams, especially in the Abitur.
Functions:
- Have vector geometry calculate mutual location of planes, straight lines, points.
- Step-by-step explanations for each solution of a curve discussion in analysis.
- Draw and solve polynomial and trigonometric functions
Suggestions, comments or questions? Email us at info@mymathx.com
Your solution is wrong and you don't know where the error is. No problem with MyMathX you can compare your calculation path and find the error.
No matter if vector geometry, calculus or stochastics with MyMathX you solve all problems within seconds and get a detailed solution.
Learn to solve mathematical problems, check homework, and compare their calculation methods for curve discussion etc. for upcoming exams, especially in the Abitur.
Functions:
- Have vector geometry calculate mutual location of planes, straight lines, points.
- Step-by-step explanations for each solution of a curve discussion in analysis.
- Draw and solve polynomial and trigonometric functions
Suggestions, comments or questions? Email us at info@mymathx.com
Show More