Finding the right formulas, rules, definitions and the material takes a long time? Looking for a universal directory, which will be all that is needed for the study? Appendix "PRO Directory of student" - this is what you are looking for!
It is a complete guide school course for 4 subjects. It contains formulas, rules, definitions and theorems:
- Algebra
- Geometry
- for trigonometry
- in physics
- in chemistry
As examples for a better understanding of the material. There is a search for even more quickly find the right material! Without advertising!
Features:
- user-friendly and beautiful interface
- find the right rule, a formula or definition can be 3 clicks
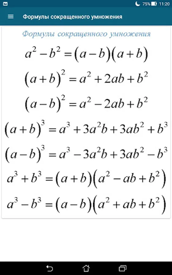
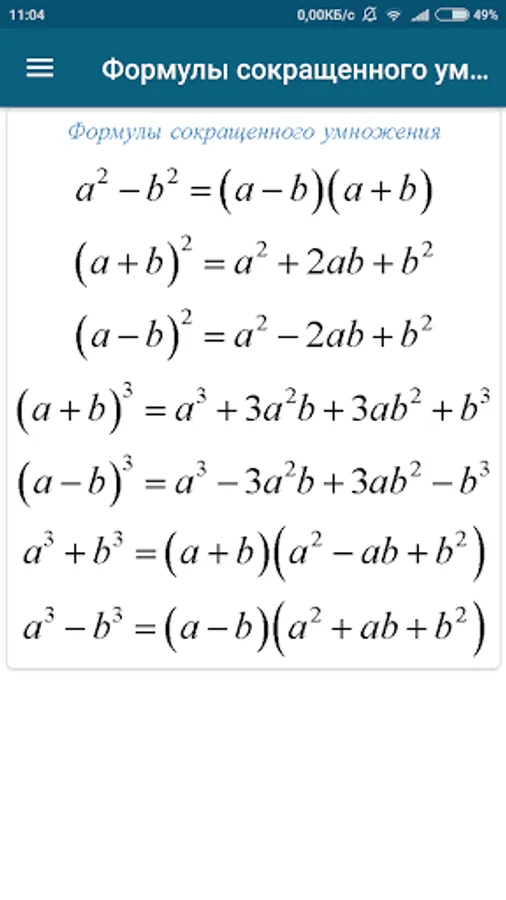
- more than 2,000 rules and definitions with examples and explanatory pictures
- over 500 formulas with explanations and deciphering
- a lot of useful additional material
- all subjects and sections in a single application
- small size = 25 MB
All the rules and definitions are conveniently located in sections, so that they can be quickly found. Many definitions are explanatory drawings. All formulas are for explanation and decryption. Formula geometry are explanatory drawings. Additional material is convenient and clearly set forth in the tables.
The app will continue to receive updates with improved functionality, adding formulas, rules and definitions. With the app "PRO Directory of student" learning - a pleasure!
It is a complete guide school course for 4 subjects. It contains formulas, rules, definitions and theorems:
- Algebra
- Geometry
- for trigonometry
- in physics
- in chemistry
As examples for a better understanding of the material. There is a search for even more quickly find the right material! Without advertising!
Features:
- user-friendly and beautiful interface
- find the right rule, a formula or definition can be 3 clicks
- more than 2,000 rules and definitions with examples and explanatory pictures
- over 500 formulas with explanations and deciphering
- a lot of useful additional material
- all subjects and sections in a single application
- small size = 25 MB
All the rules and definitions are conveniently located in sections, so that they can be quickly found. Many definitions are explanatory drawings. All formulas are for explanation and decryption. Formula geometry are explanatory drawings. Additional material is convenient and clearly set forth in the tables.
The app will continue to receive updates with improved functionality, adding formulas, rules and definitions. With the app "PRO Directory of student" learning - a pleasure!
Show More