All essential Math Formula for all android users. Offline content. You don't need internet to read formulas. In this app, you will get 1000+ math formulas and equations. With formula, you will get proper diagram, so that you will understand formula easily. You can read various equations easily from this app.
In this app, you will get mathematics formula and equations includes:
Algebra
Geometry
Trigonometry
Calculus:
Limits
Derivatives
Integrals
Basic Properties & Facts
Arithmetic Operations
Exponent Properties
Properties of Radicals
Properties of Inequalities
Properties of Absolute Value
Distance Formula
Complex Numbers
Logarithms and Log Properties
Factoring and Solving
Factoring Formulas
Quadratic Formula
Square Root Property
Absolute Value Equations/Inequalities
Completing the Square
Functions and Graphs
Constant Function
Line/Linear Function
Parabola/Quadratic Function
Circle
Ellipse
Hyperbola
Square
Rectangle
Circle
Triangles
Parallelogram
Trapezoid
Cube
Cylinder
Sphere
Cone
All in one
Geometric Symbols
Trigonometry Functions
Special Angles
Trigonometric Function Values in Quadrants II, III, and IV
The Unit Circle
Angle Addition Formulas
Double Angle Formulas
Half Angle Formulas
Power Reducing Formulas
Product‐to‐Sum Formulas
Cofunctions Formulas
Law of Sines
Law of Cosines
Law of Tangents
Pythagorean Identities (for any angle θ)
Mollweide’s Formula
Limits Definitions
Relationship between the limit and one-sided limits
Limits Properties Formulas
Basic Limit Evaluations Formulas
Evaluation Techniques Formulas
Some Continuous Functions
Intermediate Value Theorem
Derivatives Definition and Notation
Interpretation of the Derivative
Basic Properties and Formulas
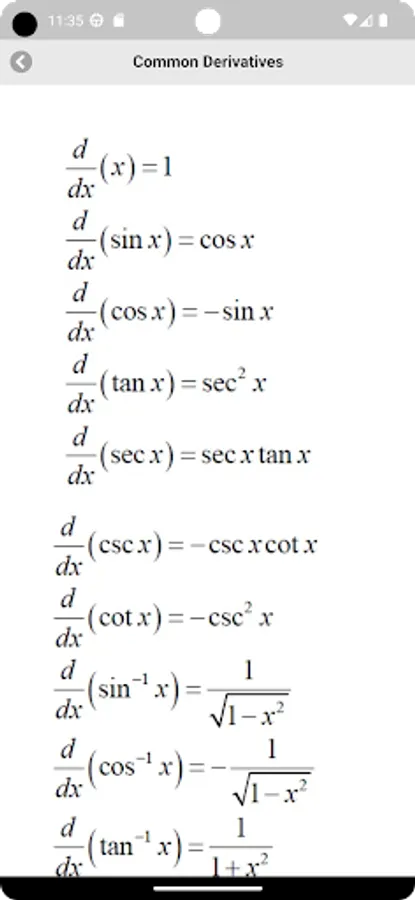
Common Derivatives
Chain Rule Variants
Higher Order Derivatives
Implicit Differentiation
Increasing/Decreasing – Concave Up/Concave Down
Extrema
Mean Value Theorem
Newton’s Method
Related Rates
Optimization
Integrals Definitions
Fundamental Theorem of Calculus
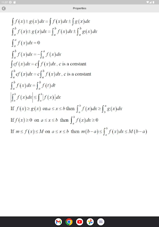
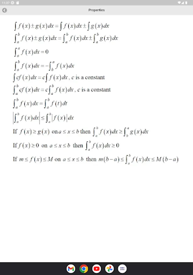
Properties
Common Integrals
Standard Integration Techniques
Improper Integral
Approximating Definite Integrals
In this app, you will get mathematics formula and equations includes:
Algebra
Geometry
Trigonometry
Calculus:
Limits
Derivatives
Integrals
Basic Properties & Facts
Arithmetic Operations
Exponent Properties
Properties of Radicals
Properties of Inequalities
Properties of Absolute Value
Distance Formula
Complex Numbers
Logarithms and Log Properties
Factoring and Solving
Factoring Formulas
Quadratic Formula
Square Root Property
Absolute Value Equations/Inequalities
Completing the Square
Functions and Graphs
Constant Function
Line/Linear Function
Parabola/Quadratic Function
Circle
Ellipse
Hyperbola
Square
Rectangle
Circle
Triangles
Parallelogram
Trapezoid
Cube
Cylinder
Sphere
Cone
All in one
Geometric Symbols
Trigonometry Functions
Special Angles
Trigonometric Function Values in Quadrants II, III, and IV
The Unit Circle
Angle Addition Formulas
Double Angle Formulas
Half Angle Formulas
Power Reducing Formulas
Product‐to‐Sum Formulas
Cofunctions Formulas
Law of Sines
Law of Cosines
Law of Tangents
Pythagorean Identities (for any angle θ)
Mollweide’s Formula
Limits Definitions
Relationship between the limit and one-sided limits
Limits Properties Formulas
Basic Limit Evaluations Formulas
Evaluation Techniques Formulas
Some Continuous Functions
Intermediate Value Theorem
Derivatives Definition and Notation
Interpretation of the Derivative
Basic Properties and Formulas
Common Derivatives
Chain Rule Variants
Higher Order Derivatives
Implicit Differentiation
Increasing/Decreasing – Concave Up/Concave Down
Extrema
Mean Value Theorem
Newton’s Method
Related Rates
Optimization
Integrals Definitions
Fundamental Theorem of Calculus
Properties
Common Integrals
Standard Integration Techniques
Improper Integral
Approximating Definite Integrals
Show More