Very useful app for students.
The app lists all the important Calculus formulas.
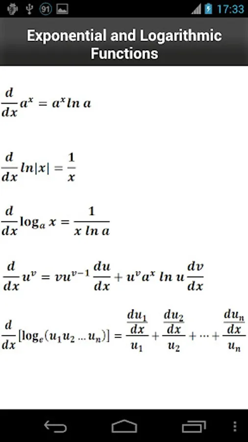
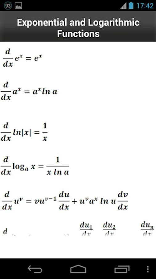
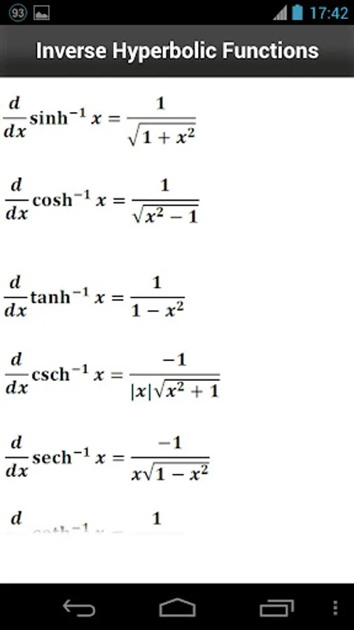
Derivative formulas - Exponential, Logarithmic, Trigonometric, Inverse Trigonometric, Hyperbolic, Inverse Hyperbolic, Different forms of Chain rule etc.
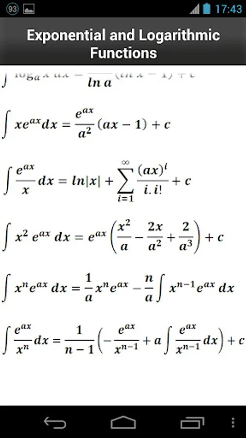
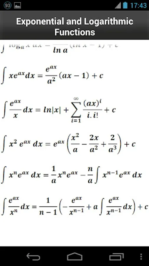
Integration formulas - Trigonometric, Hyperbolic, Exponential & Logarithmic, Definite Integrals, Miscellaneous formulas.
Let us know if you have any suggestions/issues. If you think any other formula needs to be listed, then do write to us at education.useful@gmail.com
The app lists all the important Calculus formulas.
Derivative formulas - Exponential, Logarithmic, Trigonometric, Inverse Trigonometric, Hyperbolic, Inverse Hyperbolic, Different forms of Chain rule etc.
Integration formulas - Trigonometric, Hyperbolic, Exponential & Logarithmic, Definite Integrals, Miscellaneous formulas.
Let us know if you have any suggestions/issues. If you think any other formula needs to be listed, then do write to us at education.useful@gmail.com
Show More