Math Formulas & Dictionary icon

Math Formulas & Dictionary

Venox
Free
4.0 out of 5
100,000+ downloads

About Math Formulas & Dictionary

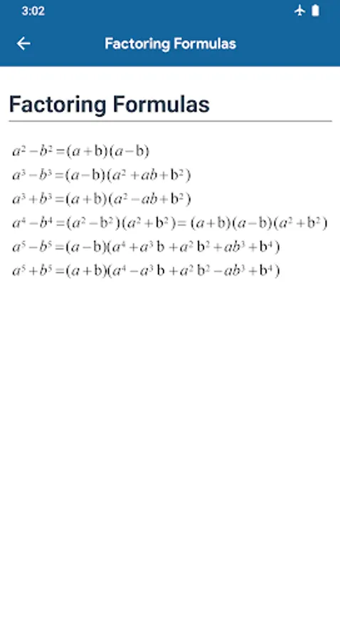
Math Formulas and Dictionary is the ultimate app for students, teachers, and anyone who needs to access math formulas and definitions quickly and easily. With over 4000 formulas and definitions in its database, Math Formulas and Dictionary is the most comprehensive math reference app available.

Features:

Over 10,000 formulas and definitions
Search by formula, definition
Offline access
Easy-to-use interface

Math Formulas & Dictionary Screenshots