Now no need to make paper notes to remember mathematics formulas(all maths formulas) just have this app put all the formulas on your favorite phones. Here is maths formulas pack for all android users.
This app has 1000+ math formula and more to come.
Now no need to make paper notes to remember mathematics formulas just have this app put all the formulas on your favourite phones.
you'll find formulas very simply explained in app with necessary figures will help you to understand very easily.
you'll find formulas very simply explained in app with necessary figures will help you to understand very easily via this app. ALL Maths Formulas covers each and every math formulas like Algebra formulas,Geometry formulas, Analytical Geometry formulas, Derivation formulas, Integration formulas, Trigonometry formulas, Laplace transform formulas, Probability formulas, that will help all students & specially those who are preparing for competitive exams.
It's very convenient for all students in high school or university and engineers to look for any easy or complicated formulas via this app.
It includes:
1. Algebra math
► Factoring formulas
► Product formulas
► Roots formula
► Powers formula
► Logarithmic formula
► Useful equations
► Complex number
► Binomial theorem
2. Geometry maths
► Cone formulas
► Cylinder
► Isosceles Triangle
► Square
► Sphere formulas
► Rectangle math
► Rhombus mathematics
► Parallelogram
► Trapezoid
3. Analytical Geometry
► 2-D coordinate system
► Circle formulas
► Hyperbola formula
► Ellipseformula
► Parabola formula
4. Derivation maths
► Limits formula
► Properties of derivative
► General derivative formula
► Trigonometric functions
► Inverse Trigonometric functions
► Hyperbolic functions
► Inverse Hyperbolic functions
5. Integration mathematics
► Properties of Integration
► Integration of rational functions
► Integration of Trigonometric functions
► Integration of Hyperbolic functions
► Integration of Exponential and log functions
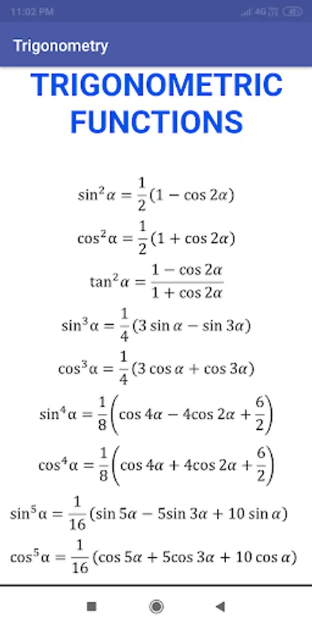
6. Trigonometry
► Basics of Trigonometry mathematics
► General Trigonometry formula
► Sine, Cosine rule
► Table of Angle maths
► Angle transformation
► Half/Double/Multiple angle formula
► Sum of functions
► Product of functions
► Powers of functions math
► Euler's formula
► Allied angles table
► Negative angle identities
7. Laplace transform
► Properties of Laplace transform
► Functions of Laplace transform
8. Fourier mathematics
► Fourier series maths
► Fourier transform operations
► Table of Fourier transform
9. Series maths
► Arithmetic series
► Geometric series
► Finite series math
► Binomial series
► Power series expansions
10. Numerical methods
► Lagrange, newton's Interpolation
► Newton's forward/backward difference
► Numerical integration
► Roots of equation
11. Vector calculus mathematics
► vector identities
12. Probability
► Basics of probability
► Expectation
► Variance mathematics
► Distributions
► Permutations mathematics
► Combinations
13. Beta Gamma
► Beta functions
► Gamma functions math
► Beta-gamma relation
14. Z - Transform
► Properties of z- transform
► Some common pairs
This app has 1000+ math formula and more to come.
Now no need to make paper notes to remember mathematics formulas just have this app put all the formulas on your favourite phones.
you'll find formulas very simply explained in app with necessary figures will help you to understand very easily.
you'll find formulas very simply explained in app with necessary figures will help you to understand very easily via this app. ALL Maths Formulas covers each and every math formulas like Algebra formulas,Geometry formulas, Analytical Geometry formulas, Derivation formulas, Integration formulas, Trigonometry formulas, Laplace transform formulas, Probability formulas, that will help all students & specially those who are preparing for competitive exams.
It's very convenient for all students in high school or university and engineers to look for any easy or complicated formulas via this app.
It includes:
1. Algebra math
► Factoring formulas
► Product formulas
► Roots formula
► Powers formula
► Logarithmic formula
► Useful equations
► Complex number
► Binomial theorem
2. Geometry maths
► Cone formulas
► Cylinder
► Isosceles Triangle
► Square
► Sphere formulas
► Rectangle math
► Rhombus mathematics
► Parallelogram
► Trapezoid
3. Analytical Geometry
► 2-D coordinate system
► Circle formulas
► Hyperbola formula
► Ellipseformula
► Parabola formula
4. Derivation maths
► Limits formula
► Properties of derivative
► General derivative formula
► Trigonometric functions
► Inverse Trigonometric functions
► Hyperbolic functions
► Inverse Hyperbolic functions
5. Integration mathematics
► Properties of Integration
► Integration of rational functions
► Integration of Trigonometric functions
► Integration of Hyperbolic functions
► Integration of Exponential and log functions
6. Trigonometry
► Basics of Trigonometry mathematics
► General Trigonometry formula
► Sine, Cosine rule
► Table of Angle maths
► Angle transformation
► Half/Double/Multiple angle formula
► Sum of functions
► Product of functions
► Powers of functions math
► Euler's formula
► Allied angles table
► Negative angle identities
7. Laplace transform
► Properties of Laplace transform
► Functions of Laplace transform
8. Fourier mathematics
► Fourier series maths
► Fourier transform operations
► Table of Fourier transform
9. Series maths
► Arithmetic series
► Geometric series
► Finite series math
► Binomial series
► Power series expansions
10. Numerical methods
► Lagrange, newton's Interpolation
► Newton's forward/backward difference
► Numerical integration
► Roots of equation
11. Vector calculus mathematics
► vector identities
12. Probability
► Basics of probability
► Expectation
► Variance mathematics
► Distributions
► Permutations mathematics
► Combinations
13. Beta Gamma
► Beta functions
► Gamma functions math
► Beta-gamma relation
14. Z - Transform
► Properties of z- transform
► Some common pairs
Show More