The content of the calculation method exercise includes the following chapters:
Chapter 1. Approximations and Errors
Chapter 2. Approximate solution of the equation
Chapter 3. Calculating the approximate solution of a system of linear equations
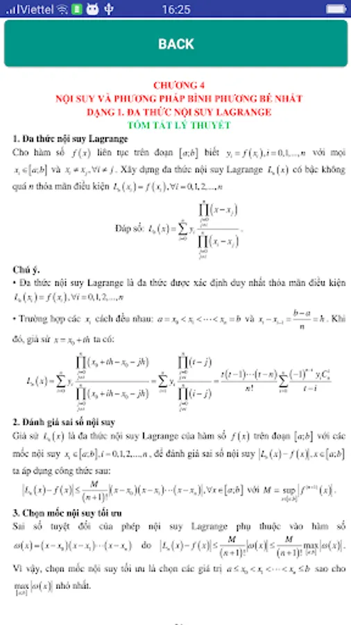
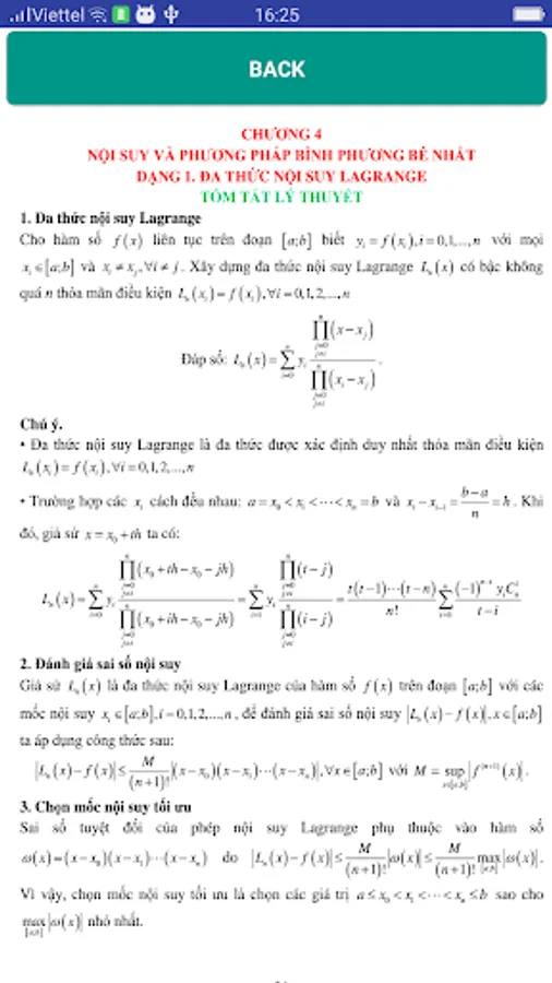
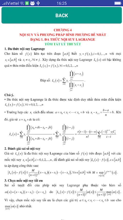
Chapter 4. Interpolation and least squares method
Chapter 5. Approximate Derivatives and Definite Integrals
Chapter 6. Approximate solutions of ordinary differential equations
Chapter 1. Approximations and Errors
Chapter 2. Approximate solution of the equation
Chapter 3. Calculating the approximate solution of a system of linear equations
Chapter 4. Interpolation and least squares method
Chapter 5. Approximate Derivatives and Definite Integrals
Chapter 6. Approximate solutions of ordinary differential equations
Show More