Derivative and Integral EVA icon

Derivative and Integral EVA

Evaapps
Free
50,000+ downloads

About Derivative and Integral EVA

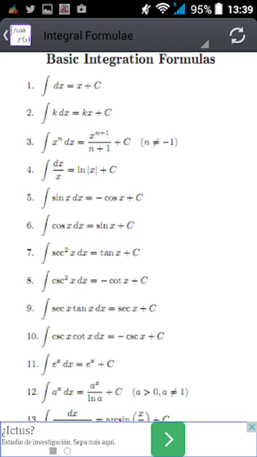
In this app you will enjoy a table of derivative formulas and another collection of integral formulas. With it we hope to help you with your calculus in your studies of maths.

Furthermore the app has got a collection of links to derivative an integral calculators on line.

Enjoy and learn mathematics. Use this calculus tool.

Derivative and Integral EVA Screenshots