The Calculation Form application provides a wide collection of mathematical formulas for differential and integral calculus and calculation in several variables of the different topics that will be of great help and serve as a quick reference. Perfect app for college students. Download exercises solved in PDF of these topics at www.CalculoDesdeCero.com
LIMITS AND CONTINUITY FORM
- Limits: Definitions
- Lateral Limits
- Indeterminate Forms
- Sandwich or Sandwich Theorem
- Boundary Properties
- Limits to Infinity
- Notable Limits
- L'Hospital Rule
- Continuous Functions
- Intermediate Value Theorem
DERIVATIVE FORM
- Basic Derivatives
- Derivatives of Trigonometric Functions
- Derivatives of Inverse Trigonometric Functions
- Derivatives of Hyperbolic Trigonometric Functions
- Derivatives of Exponential and Logarithmic Functions
- Derivatives: Definition and Notations
- Geometric interpretation of the derivative
- Basic Properties
- Chain rule
- Derivatives of Higher Order
- Implicit Differentiation
- Monotony and Concavity
- Absolute and Relative Extremes
- Mean Value Theorem
INTEGRAL FORM
- Basic Formulas
- Trigonometric formulas
- Hyperbolic Trigonometric Formulas
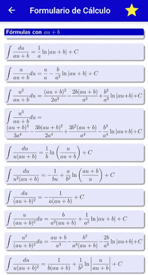
- Formulas with au + b
- Formulas with √ (au + b)
- Formulas with u² + a²
- Formulas with u²-a²
- Formulas with a²-u²
- Formulas with √ (u² + a²)
- Formulas with √ (u²-a²)
- Formulas with √ (a²-u²)
- Formulas with au² + bu + c
- Formulas with u³ + a³
- Formulas with u⁴ ± a⁴
- Formulas with sin (au)
- Formulas with cos (au)
- Formulas with cos (au) and sin (au)
- Formulas with tan (au)
- Formulas with cot (au)
- Formulas with sec (au)
- Formulas with csc (au)
- Formulas with Inverse Trigonometric Functions
- Formulas with exp (au)
- Formulas with ln (u)
- Formulas with senh (u)
- Formulas with cosh (u)
- Definite Integral, Antiderivative and Indefinite Integral
- Fundamental Theorem of Calculus
- Properties of Integrals
- Substitution Rule
- Integrals of Symmetric Functions
- Theorem of the Average Value of a Function
- Improper Integrals
- Areas in Cartesian and Polar Coordinates
- Volume of Solids of Revolution
- Revolution Surfaces Area
- Arc length
- Pappus' theorem and Center of Gravity
MULTIVARIABLE CALCULATION FORM
- Vectors
- Lines and Planes
- Conversion of Coordinate Systems
- Surfaces
- Vector Functions
- Limits and Continuity
- Partial Derivatives
- Gradients and Directional Derivatives
- Tangent Plane and Linear Approach
- Maximus and minimous
- Multiple Integrals
- Vector Calculation
GENERAL FORM
- Properties of Exponents
- Properties of Logarithms
- Trigonometric functions
- Identities of Trigonometric Functions
- Hyperbolic Trigonometric Functions
- Identities of Hyperbolic Trigonometric Functions
Download exercises solved in PDF of these topics at www.CalculoDesdeCero.com
The application is in constant development and improvement, any suggestion is welcome. Thanks.
LIMITS AND CONTINUITY FORM
- Limits: Definitions
- Lateral Limits
- Indeterminate Forms
- Sandwich or Sandwich Theorem
- Boundary Properties
- Limits to Infinity
- Notable Limits
- L'Hospital Rule
- Continuous Functions
- Intermediate Value Theorem
DERIVATIVE FORM
- Basic Derivatives
- Derivatives of Trigonometric Functions
- Derivatives of Inverse Trigonometric Functions
- Derivatives of Hyperbolic Trigonometric Functions
- Derivatives of Exponential and Logarithmic Functions
- Derivatives: Definition and Notations
- Geometric interpretation of the derivative
- Basic Properties
- Chain rule
- Derivatives of Higher Order
- Implicit Differentiation
- Monotony and Concavity
- Absolute and Relative Extremes
- Mean Value Theorem
INTEGRAL FORM
- Basic Formulas
- Trigonometric formulas
- Hyperbolic Trigonometric Formulas
- Formulas with au + b
- Formulas with √ (au + b)
- Formulas with u² + a²
- Formulas with u²-a²
- Formulas with a²-u²
- Formulas with √ (u² + a²)
- Formulas with √ (u²-a²)
- Formulas with √ (a²-u²)
- Formulas with au² + bu + c
- Formulas with u³ + a³
- Formulas with u⁴ ± a⁴
- Formulas with sin (au)
- Formulas with cos (au)
- Formulas with cos (au) and sin (au)
- Formulas with tan (au)
- Formulas with cot (au)
- Formulas with sec (au)
- Formulas with csc (au)
- Formulas with Inverse Trigonometric Functions
- Formulas with exp (au)
- Formulas with ln (u)
- Formulas with senh (u)
- Formulas with cosh (u)
- Definite Integral, Antiderivative and Indefinite Integral
- Fundamental Theorem of Calculus
- Properties of Integrals
- Substitution Rule
- Integrals of Symmetric Functions
- Theorem of the Average Value of a Function
- Improper Integrals
- Areas in Cartesian and Polar Coordinates
- Volume of Solids of Revolution
- Revolution Surfaces Area
- Arc length
- Pappus' theorem and Center of Gravity
MULTIVARIABLE CALCULATION FORM
- Vectors
- Lines and Planes
- Conversion of Coordinate Systems
- Surfaces
- Vector Functions
- Limits and Continuity
- Partial Derivatives
- Gradients and Directional Derivatives
- Tangent Plane and Linear Approach
- Maximus and minimous
- Multiple Integrals
- Vector Calculation
GENERAL FORM
- Properties of Exponents
- Properties of Logarithms
- Trigonometric functions
- Identities of Trigonometric Functions
- Hyperbolic Trigonometric Functions
- Identities of Hyperbolic Trigonometric Functions
Download exercises solved in PDF of these topics at www.CalculoDesdeCero.com
The application is in constant development and improvement, any suggestion is welcome. Thanks.
Show More