Matrix Calculator PRO

Matrix Calculator PRO icon

Matrix Calculator PRO

Alexander Skokov

About Matrix Calculator PRO

It's PRO-version of matrix calculator.
Its main task – calculate mathematical matrices.

Supported matrix operations:
- Matrix Inverse.
- Matrix Determinant.
- Matrix Scalar multiplication.
- Matrix Addition.
- Matrix Subtraction.
- Matrix Multiplication.
- Matrix Transposition.
- Matrix Rank.

The application can work with:
- Integers (-2, -1, 0, 1, 2 etc.).
- Decimal fractions (1.5, 3.14 etc.).
- Common fractions (1/2, 3/4, 7/3 etc.).
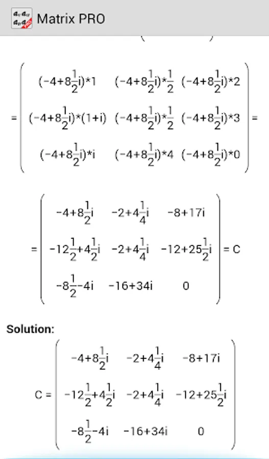
- Complex numbers (i, 1+i, 1/2-2i, 0.5+2/3i etc.).
Matrix Calculator PRO Screenshots
Screenshot 1Screenshot 2Screenshot 3Screenshot 4Screenshot 5Screenshot 6Screenshot 7Screenshot 8Screenshot 9Screenshot 10Screenshot 11Screenshot 12
More from Alexander Skokov
Similar to Matrix Calculator PRO
Browse more Home apps
More from Alexander Skokov

©2023 Verdant Labs LLC. All rights reserved.

Privacy PolicyContact