The essential tool for teaching and training, helping to ensure safer delivery of paediatric and neonatal care.
Featuring:
- APLS/NLS exportable logs
- Centile calculators and graphs
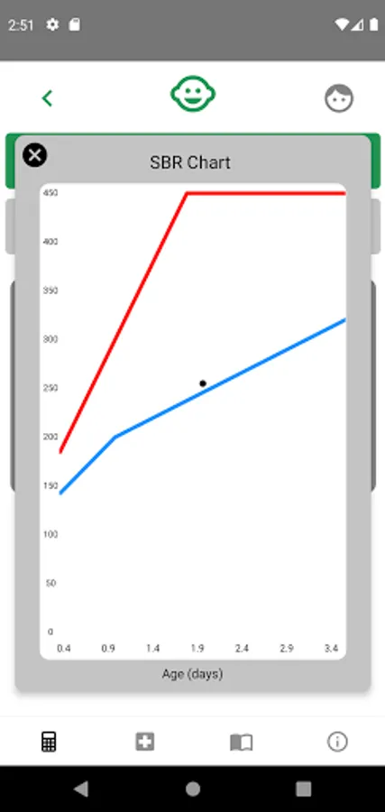
- Neonatal jaundice calculators and graphs
- Paediatric hypertension calculator
- Fluids requirement calculators
... and way more.
Featuring:
- APLS/NLS exportable logs
- Centile calculators and graphs
- Neonatal jaundice calculators and graphs
- Paediatric hypertension calculator
- Fluids requirement calculators
... and way more.
Show More