AppRecs review analysis
AppRecs rating 3.2. Trustworthiness 45 out of 100. Review manipulation risk 28 out of 100. Based on a review sample analyzed.
★★★☆☆
3.2
AppRecs Rating
Ratings breakdown
5 star
36%
4 star
9%
3 star
18%
2 star
9%
1 star
27%
About Exponential Equations ++
App for practice on exponential equations.
The App offers exponential equations who ARE ALWAYS DIFFERENT and
provides the COMPLETE SOLUTION !!!!
An ideal tool for the study of mathematics in high schools and technical schools.
Also suitable for teachers who need to create exponential equations as a task for students.
Five levels of difficulty are available:
1) Basic (Free)
2) Easy (Free)
3) Medium (Free)
4) Difficult (in-App purchase)
5) Expert (in-App purchase)
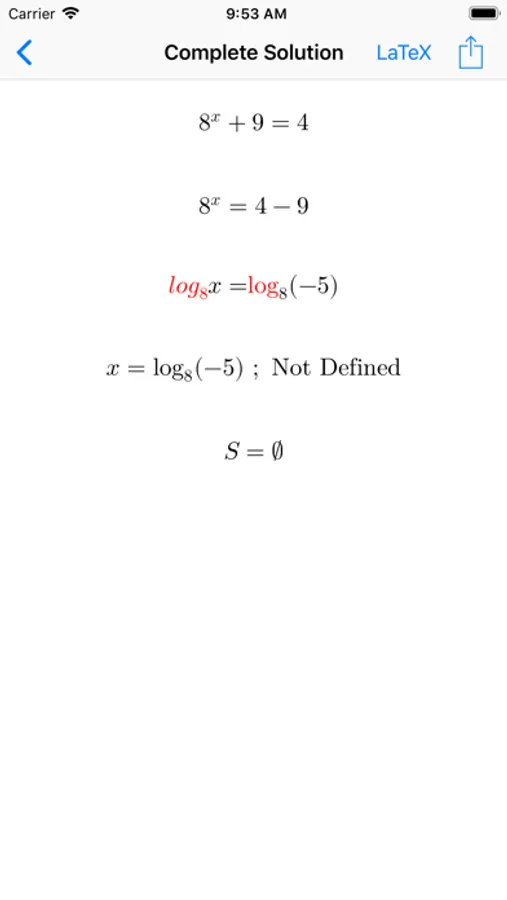
• "Basic" level: equations where you simply apply the definition of logarithm.
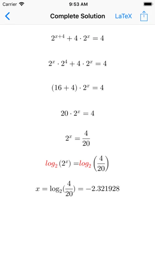
• "Easy" level: equations which can be solved in a few steps.
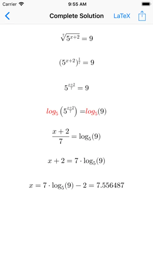
• "Medium" level: equations where the number of steps to get to the solution is a bit higher.
• "Difficult" level: equations that can leads to a quadratic equation (via variable replacement).
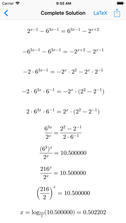
• "Expert" level: tricky equations requiring a very good knowledge to be resolved.
The App offers exponential equations who ARE ALWAYS DIFFERENT and
provides the COMPLETE SOLUTION !!!!
An ideal tool for the study of mathematics in high schools and technical schools.
Also suitable for teachers who need to create exponential equations as a task for students.
Five levels of difficulty are available:
1) Basic (Free)
2) Easy (Free)
3) Medium (Free)
4) Difficult (in-App purchase)
5) Expert (in-App purchase)
• "Basic" level: equations where you simply apply the definition of logarithm.
• "Easy" level: equations which can be solved in a few steps.
• "Medium" level: equations where the number of steps to get to the solution is a bit higher.
• "Difficult" level: equations that can leads to a quadratic equation (via variable replacement).
• "Expert" level: tricky equations requiring a very good knowledge to be resolved.
Exponential Equations ++ Screenshots
Tap to Rate:
Reviews for Exponential Equations ++
Cam Isabelle
Good app
Great for practicing math skills
Neo0012
Amazing app for math lovers
This app keeps me sharp on equation solving all the time. Really cool app for math lovers