About Formula Calc - Reimagined the Calculator
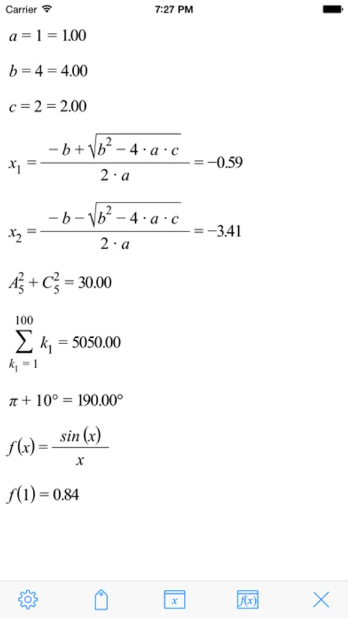
Formula Calc is a new calculation formula calculator, textbooks and dynamic variable function based on the groundbreaking, overcome the limitations of traditional calculator, to create a truly modern computing experience.
Features: the textbook formula, can be dynamically defined function, the calculation results, the freedom of the canvas.
Features: the textbook formula, can be dynamically defined function, the calculation results, the freedom of the canvas.
Formula Calc - Reimagined the Calculator Screenshots
More from 辉 马
Similar to Formula Calc - Reimagined the Calculator
More from 辉 马
Python3IDE
3.5
Super Calc - Formula, multi parameter function, calculator based on chain dynamics
C Compiler Free (Offline, Debug)
3.2
Super Calc Free - Formula, multi parameter function, calculator based on chain dynamics
Sketch Lua
3.7
Sketch C ( Offline Compiler,Debug )
1.0
C/C++ Compiler Free (Offline, Debug)
2.4