This app is the rules for computing the derivative of a function in calculus.
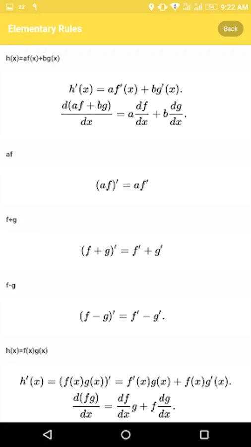
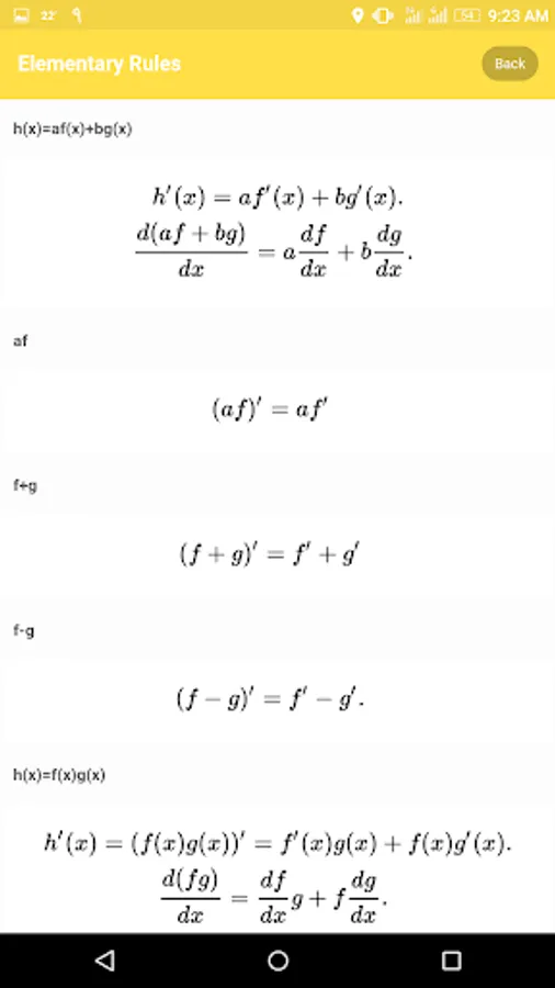
● Elementary Rules
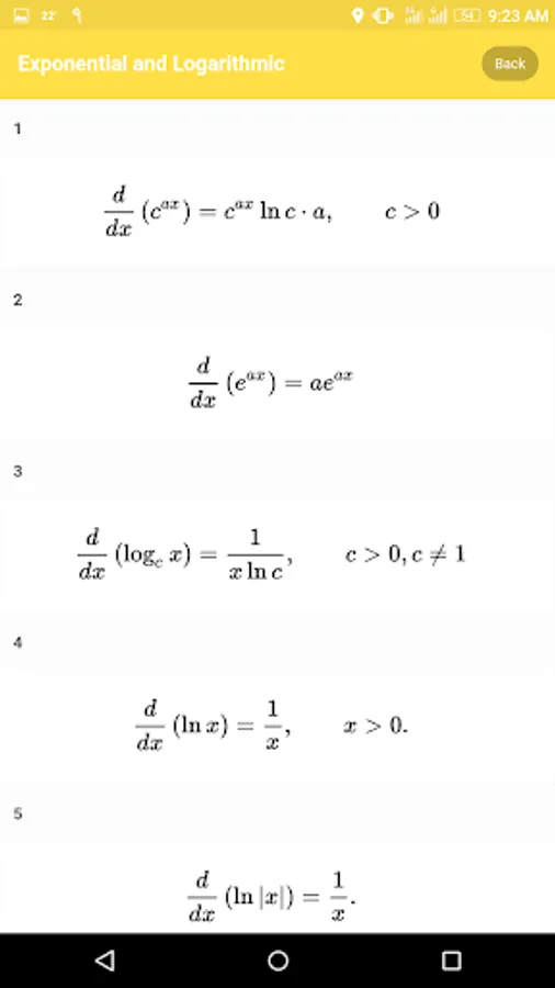
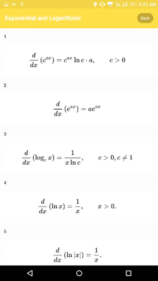
● Exponential and Logarithmic
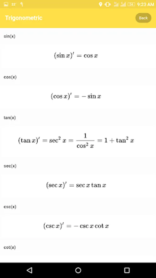
● Trigonometric
● Hyperbolic
● Special Functions
● nth Order
● Elementary Rules
● Exponential and Logarithmic
● Trigonometric
● Hyperbolic
● Special Functions
● nth Order
Show More