About Circular Cone Calculator
Calculate all values of a circular cone step-by-step for homework, school, or learning support with this smart geometry solver.
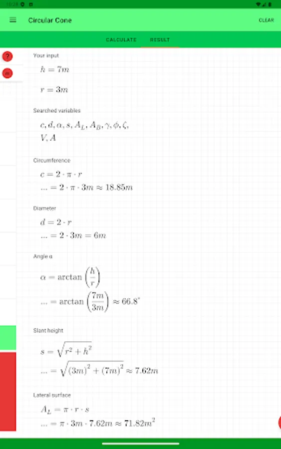
Enter known values like radius, height, surface area or volume – the app shows all required formulas and every formula used to calculate the results. Common calculations such as volume, surface area, and their formulas, which are frequently used in school, are fully included. The solutions can be shared.
🔹 Key Features:
- calculates all values
- shows formulas and detailed solutions
- infographic to illustrate 3D geometry as solid and sizes
- share full solution with all results
👤 Suitable for:
- students
- pupils
- teachers
- parents
🎯 Perfect for:
- homework
- learning geometry and any formula
- lesson preparation
- task checking
Download now and master circular cone calculations with this easy geometry solver!
Enter known values like radius, height, surface area or volume – the app shows all required formulas and every formula used to calculate the results. Common calculations such as volume, surface area, and their formulas, which are frequently used in school, are fully included. The solutions can be shared.
🔹 Key Features:
- calculates all values
- shows formulas and detailed solutions
- infographic to illustrate 3D geometry as solid and sizes
- share full solution with all results
👤 Suitable for:
- students
- pupils
- teachers
- parents
🎯 Perfect for:
- homework
- learning geometry and any formula
- lesson preparation
- task checking
Download now and master circular cone calculations with this easy geometry solver!