Math Formula App in English Medium is a Quick Revision aid for the Students.
It contains almost all useful Formulae, Equations, and Terms found in undergraduate.
and Extremely Useful for the students preparing for JEE main , JEE Advance , BITSAT , MHTCET , EAMCET , VITEEE and IIT and all other Engineering Entrance Exam.
All important Maths formulas app for all android users. Offline content. You don't need internet to read formulas. In this app, you will get math formulas and equations.
You’ll find formulas very simply explained in app with necessary figures will help you to understand very easily.Mathematical Formulas and identity equations arranged in most useful way.
Easy to use and revise math formulas
- Useful Maths Formulas for Board Exams (11th 12th Board Formula)
- Simple Interface: easily navigate to any topic.
- Can keep Favorite Formulas
- Math Formulas and equations arranged in most useful way.
- Great app for Quick Revision of math formulas
- This is also Very useful for the teachers who teach Maths in high school.
- Great app for Solving Math Problem
1. AlgebraFormulas
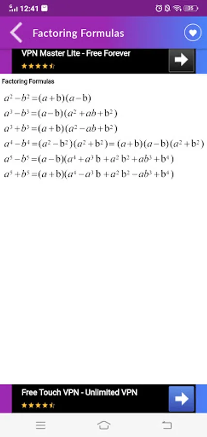
- Factoring formulas
- Product formulas
- Roots formula
- Powers formula
- Logarithmic formula
- Useful equations
- Complex number
- Binomial theorem
2. Geometry Formulas
- Cone
- Cylinder
- Isosceles Triangle
- Square
- Sphere
- Rectangle
- Rhombus
- Parallelogram
- Trapezoid
3. Analytical Geometry
- 2-D coordinate system
- Circle
- Hyperbola
- Ellipse
- Parabola
4. Derivation
- Limits formula
- Properties of derivative
- General derivative formula
- Trigonometric functions
- Inverse Trigonometric functions
- Hyperbolic functions
- Inverse Hyperbolic functions
5. IntegrationFormulas
- Properties of Integration
- Integration of rational functions
- Integration of Trigonometric functions
- Integration of Hyperbolic functions
- Integration of Exponential and log functions
6. Trigonometry
- Basics of Trigonometry
- General Trigonometry formula
- Sine, Cosine rule
- Table of Angle
- Angle transformation
- Half/Double/Multiple angle formula
- Sum of functions
- Product of functions
- Powers of functions
- Euler's formula
- Allied angles table
- Negative angle identities
7. Laplace transform
- Properties of Laplace transform
- Functions of Laplace transform
8. Fourier
- Fourier series
- Fourier transform operations
- Table of Fourier transform
9. Series
- Arithmetic series
- Geometric series
- Finite series
- Binomial series
- Power series expansions
10. Numerical methods
- Lagrange, newton's Interpolation
- Newton's forward/backward difference
- Numerical integration
- Roots of equation
11. Vector calculus
- vector identities
12. Probability
- Basics of probability
- Expectation
- Variance
- Distributions
- Permutations
- Combinations
13. Beta Gamma
- Beta functions
- Gamma functions
- Beta-gamma relation
14. Z - Transform
- Properties of z- transform
- Some common pairs
          It contains almost all useful Formulae, Equations, and Terms found in undergraduate.
and Extremely Useful for the students preparing for JEE main , JEE Advance , BITSAT , MHTCET , EAMCET , VITEEE and IIT and all other Engineering Entrance Exam.
All important Maths formulas app for all android users. Offline content. You don't need internet to read formulas. In this app, you will get math formulas and equations.
You’ll find formulas very simply explained in app with necessary figures will help you to understand very easily.Mathematical Formulas and identity equations arranged in most useful way.
Easy to use and revise math formulas
- Useful Maths Formulas for Board Exams (11th 12th Board Formula)
- Simple Interface: easily navigate to any topic.
- Can keep Favorite Formulas
- Math Formulas and equations arranged in most useful way.
- Great app for Quick Revision of math formulas
- This is also Very useful for the teachers who teach Maths in high school.
- Great app for Solving Math Problem
1. AlgebraFormulas
- Factoring formulas
- Product formulas
- Roots formula
- Powers formula
- Logarithmic formula
- Useful equations
- Complex number
- Binomial theorem
2. Geometry Formulas
- Cone
- Cylinder
- Isosceles Triangle
- Square
- Sphere
- Rectangle
- Rhombus
- Parallelogram
- Trapezoid
3. Analytical Geometry
- 2-D coordinate system
- Circle
- Hyperbola
- Ellipse
- Parabola
4. Derivation
- Limits formula
- Properties of derivative
- General derivative formula
- Trigonometric functions
- Inverse Trigonometric functions
- Hyperbolic functions
- Inverse Hyperbolic functions
5. IntegrationFormulas
- Properties of Integration
- Integration of rational functions
- Integration of Trigonometric functions
- Integration of Hyperbolic functions
- Integration of Exponential and log functions
6. Trigonometry
- Basics of Trigonometry
- General Trigonometry formula
- Sine, Cosine rule
- Table of Angle
- Angle transformation
- Half/Double/Multiple angle formula
- Sum of functions
- Product of functions
- Powers of functions
- Euler's formula
- Allied angles table
- Negative angle identities
7. Laplace transform
- Properties of Laplace transform
- Functions of Laplace transform
8. Fourier
- Fourier series
- Fourier transform operations
- Table of Fourier transform
9. Series
- Arithmetic series
- Geometric series
- Finite series
- Binomial series
- Power series expansions
10. Numerical methods
- Lagrange, newton's Interpolation
- Newton's forward/backward difference
- Numerical integration
- Roots of equation
11. Vector calculus
- vector identities
12. Probability
- Basics of probability
- Expectation
- Variance
- Distributions
- Permutations
- Combinations
13. Beta Gamma
- Beta functions
- Gamma functions
- Beta-gamma relation
14. Z - Transform
- Properties of z- transform
- Some common pairs
            
            Show More