Math on the phone!
Now you have all useful math formulas and definitions handy and can always refer to them. There are a lot of drawings (including 3D), explaining all symbols used in formulas.
Range of material - high school and University.
The content is divided into sections and subsections so that it is easy to find any formula, definition or equation.
There is also a free version of MathPro, which displays ads.
Current table of contents:
Algebra
- Constants
- Basics
- Exponents
- Averages
- Polynomials
- Logarithms
- Equations
- Equation systems
- Matrices
- Determinants
Analysis
- Sequences
- Limits
- Series
- Integrals, properties
- Integrals, basic formulas
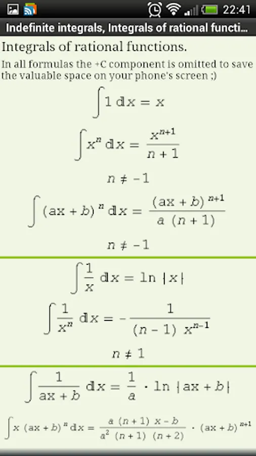
- Integrals of rational functions
- Integrals of irrational functions
- Integrals of logarithmic functions
- Integrals of exponential functions
- Integrals of sine functions
Geometry
- Triangles
- Trigonometry
- Quadrilaterals
- Polygons
- Circles
- Polyhedrons
- Solids of revolution
- Platonic Solids
Statistics
- Combinatorics
- Probability
Logic, Sets
- Logic
Coming soon: vector calculus, differential calculus, analytic geometry, complex numbers, ... then the next sections.
Now you have all useful math formulas and definitions handy and can always refer to them. There are a lot of drawings (including 3D), explaining all symbols used in formulas.
Range of material - high school and University.
The content is divided into sections and subsections so that it is easy to find any formula, definition or equation.
There is also a free version of MathPro, which displays ads.
Current table of contents:
Algebra
- Constants
- Basics
- Exponents
- Averages
- Polynomials
- Logarithms
- Equations
- Equation systems
- Matrices
- Determinants
Analysis
- Sequences
- Limits
- Series
- Integrals, properties
- Integrals, basic formulas
- Integrals of rational functions
- Integrals of irrational functions
- Integrals of logarithmic functions
- Integrals of exponential functions
- Integrals of sine functions
Geometry
- Triangles
- Trigonometry
- Quadrilaterals
- Polygons
- Circles
- Polyhedrons
- Solids of revolution
- Platonic Solids
Statistics
- Combinatorics
- Probability
Logic, Sets
- Logic
Coming soon: vector calculus, differential calculus, analytic geometry, complex numbers, ... then the next sections.
Show More