Integrals on the phone!
Now you have all useful integral formulas handy and can always refer to them.
Range of material - University. Integrals for pros!
The content is divided into sections and subsections so that it is easy to find any formula or equation.
Current Table of Contents:
indefinite integrals
- Definitions
- Properties
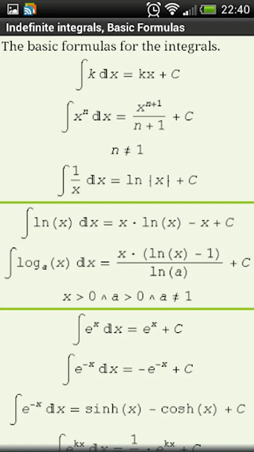
- Basic formulas
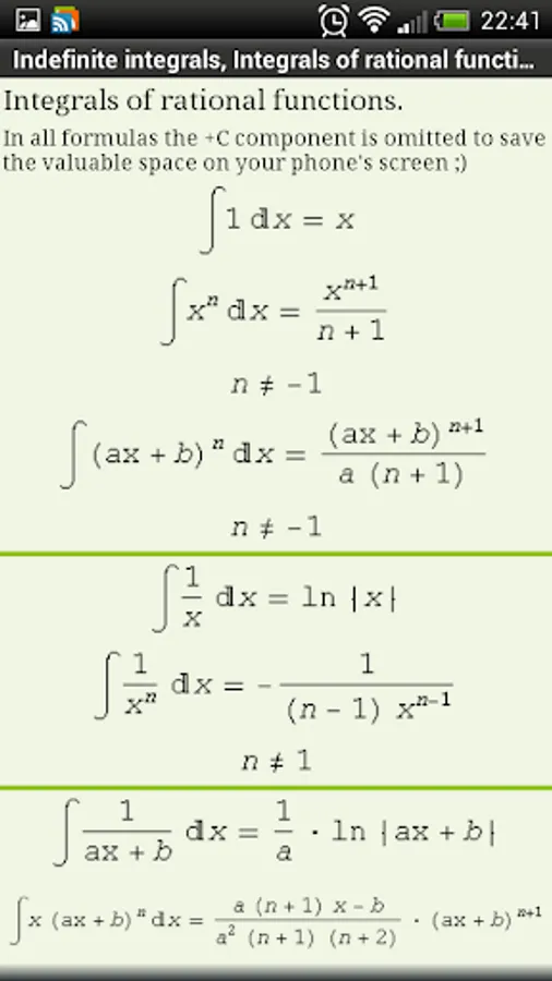
- Integrals of rational functions
- Integrals of irrational functions
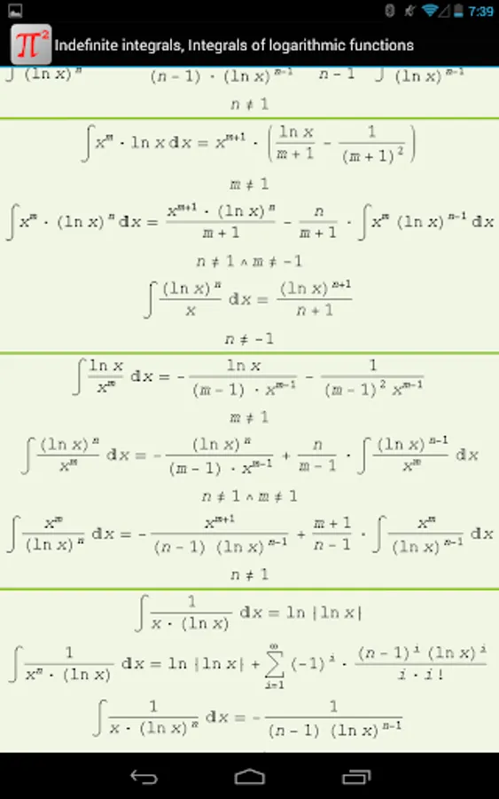
- Integrals of logarithmic functions
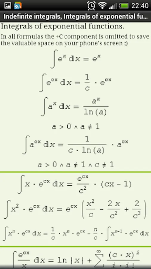
- Integrals of exponential functions
- Integrals of the sin functions
In preparation:
- Integrals of trigonometric functions
- definite integrals
- derivatives
Now you have all useful integral formulas handy and can always refer to them.
Range of material - University. Integrals for pros!
The content is divided into sections and subsections so that it is easy to find any formula or equation.
Current Table of Contents:
indefinite integrals
- Definitions
- Properties
- Basic formulas
- Integrals of rational functions
- Integrals of irrational functions
- Integrals of logarithmic functions
- Integrals of exponential functions
- Integrals of the sin functions
In preparation:
- Integrals of trigonometric functions
- definite integrals
- derivatives
Show More