Auto Truss - Hand Calcs automatically generates the hand calculations required to solve any statically determinate or indeterminate truss on a two dimensional plane. The generated report shows all the steps that are required to solve these problems by hand, with well formatted and neat calculations within a customizable report (Latex & HTML) that can be viewed on the phone or easily exported to another device or computer. This app is well suited for first and third year engineering students to learn statics and structural analysis, tutors and lectures to quickly provide fully worked solutions and practicing civil, mechanical, aeronautical and structural engineers who would like an alternative method to check finite element results or provide hand calculations.
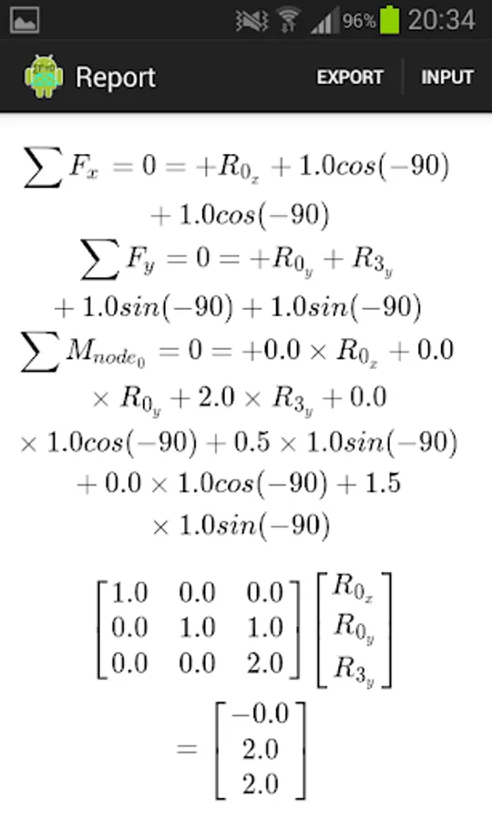
The methodology used to find the forces within the truss is statics when determinate and the virtual work principal when indeterminate. This approach lends itself well to hand calculations of trusses because they generally only have a few degrees of indeterminacy leading to smaller flexibility matrices for statically indeterminate trusses than what would be required from the finite element or direct stiffness methods which require a matrix row and column for every degree of freedom. Further to the calculations being less involved, the methodology is different from finite elements and therefore it is an ideal method for checking finite element results.
The methodology used to find the forces within the truss is statics when determinate and the virtual work principal when indeterminate. This approach lends itself well to hand calculations of trusses because they generally only have a few degrees of indeterminacy leading to smaller flexibility matrices for statically indeterminate trusses than what would be required from the finite element or direct stiffness methods which require a matrix row and column for every degree of freedom. Further to the calculations being less involved, the methodology is different from finite elements and therefore it is an ideal method for checking finite element results.
Show More