Online limits calculator shows:
[✔] first remarkable limit
[✔] second remarkable limit
[✔] Rational fractions at infinity
[✔] Rational fractions at bounded points
[✔] Expressions with sqrt roots
[✔] Espressions with powers and exponentials
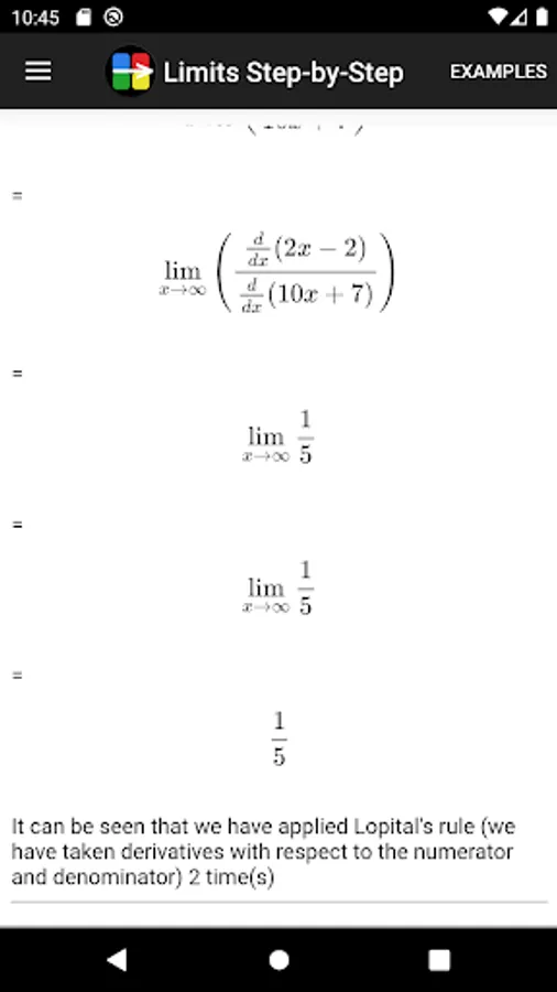
[✔] Contains detailed solution for expressions where it is possible to apply Lopital's rule
[✔] Other
You will receive detailed decision with a probability of 80% at the moment.
Limits of function calculator solves explicitly for > 80% of expressions at the point.
It supports:
[✔] All mathematical functions. For example: sin (x), cos (x) exp (x), tan (x), the ctan (x), sqrt (x) and others.
[✔] Different arguments and options: a, b, c, etc.
It contains tricks:
[✔] Numerical solution of limits of functions
[✔] Examples of limits
[✔] first remarkable limit
[✔] second remarkable limit
[✔] Rational fractions at infinity
[✔] Rational fractions at bounded points
[✔] Expressions with sqrt roots
[✔] Espressions with powers and exponentials
[✔] Contains detailed solution for expressions where it is possible to apply Lopital's rule
[✔] Other
You will receive detailed decision with a probability of 80% at the moment.
Limits of function calculator solves explicitly for > 80% of expressions at the point.
It supports:
[✔] All mathematical functions. For example: sin (x), cos (x) exp (x), tan (x), the ctan (x), sqrt (x) and others.
[✔] Different arguments and options: a, b, c, etc.
It contains tricks:
[✔] Numerical solution of limits of functions
[✔] Examples of limits
Show More