About Linear Algebra - Matrix Solver
Linear Algebra - Matrix Solver is a powerful and easy-to-use tool for calculating matrices, determinants, and vector operations — perfect for students, engineers, and anyone who works with linear algebra in study or professional tasks.
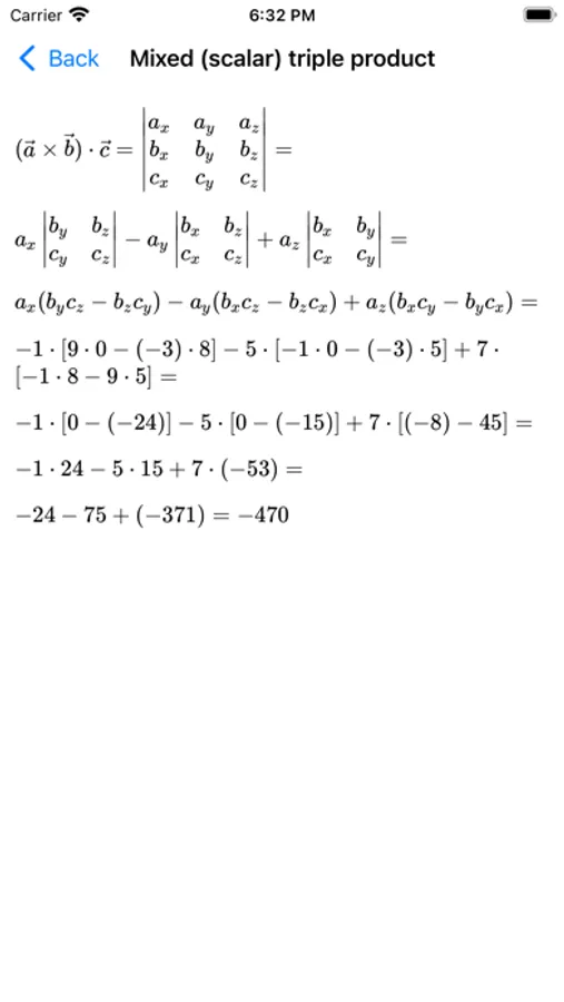
The app performs step-by-step calculations with detailed solutions using the correct formulas. You can work with matrices up to 5×5 and vectors in 2D or 3D. Each calculator includes a brief theoretical overview to help you understand the concept behind the operation.
It also includes a random number generator to instantly create practice problems with random values.
Available in 8 languages: English, French, German, Italian, Portuguese, Spanish, Russian, Ukrainian.
Whether you're learning, teaching, or solving real-world problems, Linear Algebra app helps you get accurate results quickly and understand the math behind them.
The application perform following operations with matrices:
• Matrix addition
• Matrix subtraction
• Matrix scalar multiplication
• Matrix square
• Matrix multiplication
• Matrix transposition
Determinant calculations:
• Calculation of the determinant using the Sarrus method
• Calculation of the determinant using the Laplace method
Vector operations:
• Vector Length
• Vector coordinates by two points
• Vectors addition
• Vectors subtraction
• Scalar and vector multiplication
• Scalar product of vectors
• Cross product of vectors
• Mixed (scalar) triple product
• Angle between two vectors
• Projection of a vector onto another vector
• Direction cosines
• Collinear vectors
• Orthogonal vectors
• Coplanar vectors
• Area of triangle formed by vectors
• Area of a parallelogram formed by vectors
• Volume of pyramid formed by vectors
• Volume of a parallelepiped formed by vectors
Download now and simplify your linear algebra work!
The app performs step-by-step calculations with detailed solutions using the correct formulas. You can work with matrices up to 5×5 and vectors in 2D or 3D. Each calculator includes a brief theoretical overview to help you understand the concept behind the operation.
It also includes a random number generator to instantly create practice problems with random values.
Available in 8 languages: English, French, German, Italian, Portuguese, Spanish, Russian, Ukrainian.
Whether you're learning, teaching, or solving real-world problems, Linear Algebra app helps you get accurate results quickly and understand the math behind them.
The application perform following operations with matrices:
• Matrix addition
• Matrix subtraction
• Matrix scalar multiplication
• Matrix square
• Matrix multiplication
• Matrix transposition
Determinant calculations:
• Calculation of the determinant using the Sarrus method
• Calculation of the determinant using the Laplace method
Vector operations:
• Vector Length
• Vector coordinates by two points
• Vectors addition
• Vectors subtraction
• Scalar and vector multiplication
• Scalar product of vectors
• Cross product of vectors
• Mixed (scalar) triple product
• Angle between two vectors
• Projection of a vector onto another vector
• Direction cosines
• Collinear vectors
• Orthogonal vectors
• Coplanar vectors
• Area of triangle formed by vectors
• Area of a parallelogram formed by vectors
• Volume of pyramid formed by vectors
• Volume of a parallelepiped formed by vectors
Download now and simplify your linear algebra work!
Linear Algebra - Matrix Solver Screenshots
Tap to Rate: