BernoulliLab is a pocket laboratory for the study of Bernoulli's Equation within the scope of Transport Phenomena.
The lab is as simple as possible for you to understand the physics and mathematics applied to the subject.
We believe that manipulating the most basic equations through experiments is the key to understanding more complex phenomena. And you?
The application presents theoretical content and experiences with computer simulation, allowing you to understand the subject by observing the simulator's behavior.
Content is available in English, Portuguese, Spanish and French
The simulator allows:
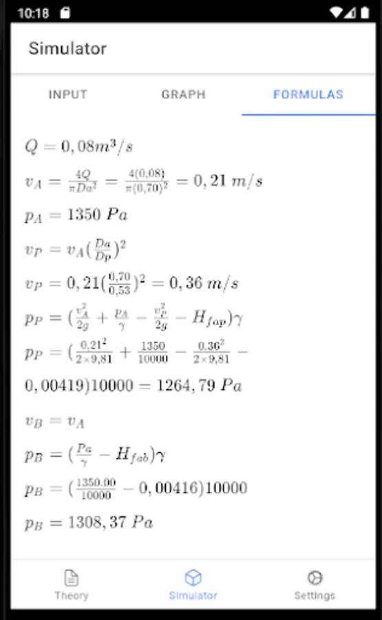
- Interactive graphic representation of the pressure variation in three sections of a venturi tube;
- Interactive graphic representation of the velocity variation in three sections of a venturi tube;
- Interactive calculation of pressure variation in three sections of a venturi tube;
- Interactive calculation of the velocity variation in three sections of a venturi tube;
- Interactive calculation of head losses in a venturi tube;
- Interactive control of the flow control valve opening;
- Interactive pressure control in section A;
- Interactive control of the position of the Pitot tube in the venturi;
- Consider or not head losses;
- Theory that allows the understanding of the hypotheses adopted in the Bernoulli Equation;
- Laboratory experiment script that allows you to check the effect of opening the valve
- Laboratory experiment script that allows to verify the effect of pressure variation in section A;
- Laboratory experiment script that allows to verify the effect of the Pitot tube position on the venturi;
- Laboratory experiment script that allows you to verify the effect of head loss;
- Allows you to conduct free experiments to understand other aspects of the Bernoulli equation.
The lab is as simple as possible for you to understand the physics and mathematics applied to the subject.
We believe that manipulating the most basic equations through experiments is the key to understanding more complex phenomena. And you?
The application presents theoretical content and experiences with computer simulation, allowing you to understand the subject by observing the simulator's behavior.
Content is available in English, Portuguese, Spanish and French
The simulator allows:
- Interactive graphic representation of the pressure variation in three sections of a venturi tube;
- Interactive graphic representation of the velocity variation in three sections of a venturi tube;
- Interactive calculation of pressure variation in three sections of a venturi tube;
- Interactive calculation of the velocity variation in three sections of a venturi tube;
- Interactive calculation of head losses in a venturi tube;
- Interactive control of the flow control valve opening;
- Interactive pressure control in section A;
- Interactive control of the position of the Pitot tube in the venturi;
- Consider or not head losses;
- Theory that allows the understanding of the hypotheses adopted in the Bernoulli Equation;
- Laboratory experiment script that allows you to check the effect of opening the valve
- Laboratory experiment script that allows to verify the effect of pressure variation in section A;
- Laboratory experiment script that allows to verify the effect of the Pitot tube position on the venturi;
- Laboratory experiment script that allows you to verify the effect of head loss;
- Allows you to conduct free experiments to understand other aspects of the Bernoulli equation.
Show More