The study of mechanical vibrations is important for engineering professionals. In particular, for Civil, Mechanical, Naval and Aeronautical Engineers.
Both the design of structures and equipment, as well as their assembly and maintenance require solid knowledge of mechanical vibrations.
Although vibration is a complex process, the basis for its understanding is the system of a degree of freedom (1 GDL). With the in-depth knowledge of the behavior of this type of system, you can easily learn the concepts necessary for complex applications such as:
- Analysis of vibrations;
- Design of insulators;
- Shock absorber design;
- Modal analysis.
This application is a virtual laboratory that allows you to acquire deep knowledge about the behavior of systems with 1 GDL. The application allows you to study:
- Undamped free vibrations;
- Damped free vibrations;
- Steady state harmonic forced vibrations;
- Steady state Response to base movement.
The didactic resources included for learning are:
- Interactive response charts over time;
- Interactive graphics of frequency response;
- Interactive graphics of phase difference with frequency;
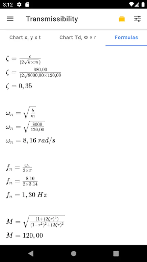
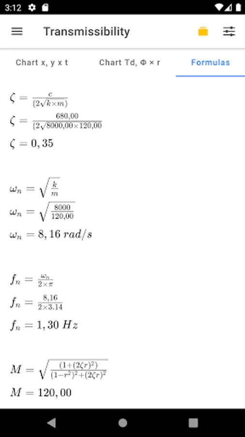
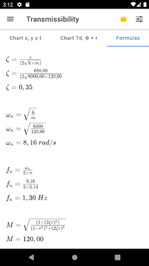
- Interactive equations with detailed step-by-step calculations;
- Summary of the theory.
The input data for the laboratory experiments are:
- Mass;
- Stiffness;
- Damping;
- Excitation force amplitude;
- Excitation frequency;
- Initial position;
- Initial speed;
- Base movement amplitude;
- Base movement frequency.
The following experience guides are available in the application:
- Free vibration of systems with 1 DOF - Application on a bicycle;
- Forced vibration of systems with 1 DOF subject to harmonic force - Application in a centrifugal pump;
- Forced vibration of systems with 1 DOF subject to base movement - Application in a car on an irregular road;
- Undamped free vibrations;
- Underdamped free vibrations;
- Free vibration with critical damping;
- Overdamped free vibration;
- Forced vibration - r close to 1 - influence of damping;
- Forced vibration - r << 1 - influence of damping;
- Forced vibration - r >> 1 - influence of damping;
- Integral transmission of movement from base to mass - r = 1.41;
- Amplification of the movement of the mass related to the base - r <1.41;
- Isolation of the mass related to the base - r> 1.41.
Both the design of structures and equipment, as well as their assembly and maintenance require solid knowledge of mechanical vibrations.
Although vibration is a complex process, the basis for its understanding is the system of a degree of freedom (1 GDL). With the in-depth knowledge of the behavior of this type of system, you can easily learn the concepts necessary for complex applications such as:
- Analysis of vibrations;
- Design of insulators;
- Shock absorber design;
- Modal analysis.
This application is a virtual laboratory that allows you to acquire deep knowledge about the behavior of systems with 1 GDL. The application allows you to study:
- Undamped free vibrations;
- Damped free vibrations;
- Steady state harmonic forced vibrations;
- Steady state Response to base movement.
The didactic resources included for learning are:
- Interactive response charts over time;
- Interactive graphics of frequency response;
- Interactive graphics of phase difference with frequency;
- Interactive equations with detailed step-by-step calculations;
- Summary of the theory.
The input data for the laboratory experiments are:
- Mass;
- Stiffness;
- Damping;
- Excitation force amplitude;
- Excitation frequency;
- Initial position;
- Initial speed;
- Base movement amplitude;
- Base movement frequency.
The following experience guides are available in the application:
- Free vibration of systems with 1 DOF - Application on a bicycle;
- Forced vibration of systems with 1 DOF subject to harmonic force - Application in a centrifugal pump;
- Forced vibration of systems with 1 DOF subject to base movement - Application in a car on an irregular road;
- Undamped free vibrations;
- Underdamped free vibrations;
- Free vibration with critical damping;
- Overdamped free vibration;
- Forced vibration - r close to 1 - influence of damping;
- Forced vibration - r << 1 - influence of damping;
- Forced vibration - r >> 1 - influence of damping;
- Integral transmission of movement from base to mass - r = 1.41;
- Amplification of the movement of the mass related to the base - r <1.41;
- Isolation of the mass related to the base - r> 1.41.
Show More