HeatLab is a pocket laboratory for the study of heat transfer in flat walls, within the scope of Transport Phenomena.
The lab is as simple as possible for you to understand the physics and mathematics applied to the subject.
Start to see Engineering with different eyes!
We believe that manipulating the most basic equations through experiments is the key to understanding more complex phenomena. And you?
The application presents theoretical content and experiences with computer simulation, allowing you to understand the subject by observing the simulator's behavior.
Content is available in English, Portuguese, Spanish and French
The simulator allows:
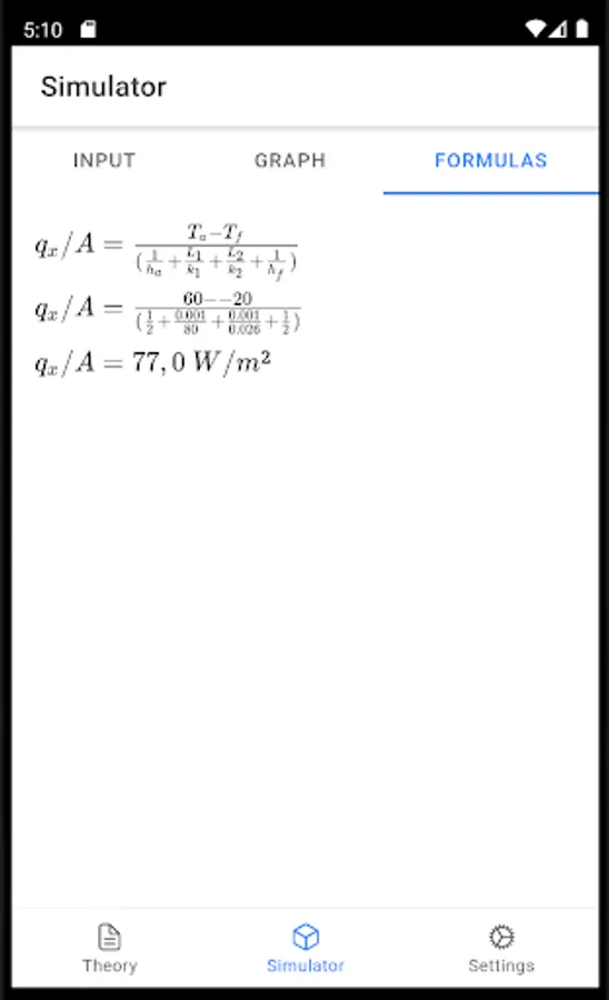
- Interactive graphical representation of the density of the heat flow;
- Interactive calculation of the density of heat flow;
- Interactive temperature control on the hot side of the wall;
- Interactive temperature control on the cold side of the wall;
- Interactive control of the heat transfer coefficient by conduction of the first layer of the wall;
- Interactive control of the heat transfer coefficient by conducting the second layer of the wall;
- Interactive control of the heat transfer coefficient by convection on the hot side of the wall;
- Interactive control of the heat transfer coefficient by convection on the cold side of the wall;
- Interactive control of the thickness of the first layer of the wall;
- Interactive control of the thickness of the second layer of the wall;
- Theory that allows the understanding of heat conduction;
- Theory that allows the understanding of heat convection;
- Laboratory experiment script that allows to verify the effect of the temperature difference between the hot and cold sides of the wall;
- Laboratory experiment script that allows to verify the effect of the variation of the heat transfer coefficients by conduction;
- Laboratory experiment script that allows to verify the effect of the variation of the heat transfer coefficients by convection;
- Laboratory experience script that allows to verify the functioning of thermal insulators;
- Allows you to conduct free experiments to understand other aspects of heat transfer in walls.
The lab is as simple as possible for you to understand the physics and mathematics applied to the subject.
Start to see Engineering with different eyes!
We believe that manipulating the most basic equations through experiments is the key to understanding more complex phenomena. And you?
The application presents theoretical content and experiences with computer simulation, allowing you to understand the subject by observing the simulator's behavior.
Content is available in English, Portuguese, Spanish and French
The simulator allows:
- Interactive graphical representation of the density of the heat flow;
- Interactive calculation of the density of heat flow;
- Interactive temperature control on the hot side of the wall;
- Interactive temperature control on the cold side of the wall;
- Interactive control of the heat transfer coefficient by conduction of the first layer of the wall;
- Interactive control of the heat transfer coefficient by conducting the second layer of the wall;
- Interactive control of the heat transfer coefficient by convection on the hot side of the wall;
- Interactive control of the heat transfer coefficient by convection on the cold side of the wall;
- Interactive control of the thickness of the first layer of the wall;
- Interactive control of the thickness of the second layer of the wall;
- Theory that allows the understanding of heat conduction;
- Theory that allows the understanding of heat convection;
- Laboratory experiment script that allows to verify the effect of the temperature difference between the hot and cold sides of the wall;
- Laboratory experiment script that allows to verify the effect of the variation of the heat transfer coefficients by conduction;
- Laboratory experiment script that allows to verify the effect of the variation of the heat transfer coefficients by convection;
- Laboratory experience script that allows to verify the functioning of thermal insulators;
- Allows you to conduct free experiments to understand other aspects of heat transfer in walls.
Show More