AppRecs review analysis
AppRecs rating 3.2. Trustworthiness 76 out of 100. Review manipulation risk 22 out of 100. Based on a review sample analyzed.
★★★☆☆
3.2
AppRecs Rating
Ratings breakdown
5 star
39%
4 star
11%
3 star
11%
2 star
11%
1 star
28%
What to know
✓
Low review manipulation risk
22% review manipulation risk
✓
Credible reviews
76% trustworthiness score from analyzed reviews
About Logarithms
• App to learn LOGARITHMS.
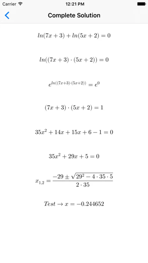
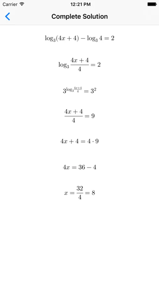
• The app creates equations and expressions and SHOWS THE COMPLETE SOLUTION !!!
• The expressions and equations are ALWAYS DIFFERENT (based on random numbers).
• An ideal tool for the study of mathematics in secondary schools and technical schools.
• It is also possible to learn the logarithm laws (simplify and expand expressions). Fundamental to be able to solve the equations.
• Includes a calculator for the calculation of logarithms to any base.
• Works 100% offline
• Also suitable for TEACHERS who need to build logarithmic equations as a task for students; it is possible to export LaTex code to create professional looking scripts (available as in-app purchase).
• 5 levels are available:
1) Simplify (Free)
2) Expand (Free)
3) Equations - Easy (Free)
4) Equations - Medium (in app purchase)
5) Equations - Difficult (in app purchase)
• Simplify: application of the rules on calculation of logarithms to compact expressions
e.g.: log (5) + log (4) - log (2) = log (5 * 4/2) = log (10)
• Expand: the opposite of simplify, e.g.: log (x * y/(2z)) = log (x * y) - log (2z) =
log (x) + log (y) - [log (2) + log (z)] = log (x) + log (y) - log (2) - log (z)
• Equations - Easy: equations that simply require the application of the definition of logarithm and application of calculation rules; are solvable in few steps and are an excellent starting point for more difficult equations.
• Equations - Medium: this level presents equations that require a higher number of steps to be resolved. By mastering this level you can achieve medium/good review.
• Equations - Hard: this is a level where logarithmic equations are presented that eventually leads to quadratic equations using a variable substitution, or are tricky. It also present some equations with logarithms to different bases and equations that require an excellent knowledge of the topic. By mastering this level excellent exam results are highly likely :-)
• The app creates equations and expressions and SHOWS THE COMPLETE SOLUTION !!!
• The expressions and equations are ALWAYS DIFFERENT (based on random numbers).
• An ideal tool for the study of mathematics in secondary schools and technical schools.
• It is also possible to learn the logarithm laws (simplify and expand expressions). Fundamental to be able to solve the equations.
• Includes a calculator for the calculation of logarithms to any base.
• Works 100% offline
• Also suitable for TEACHERS who need to build logarithmic equations as a task for students; it is possible to export LaTex code to create professional looking scripts (available as in-app purchase).
• 5 levels are available:
1) Simplify (Free)
2) Expand (Free)
3) Equations - Easy (Free)
4) Equations - Medium (in app purchase)
5) Equations - Difficult (in app purchase)
• Simplify: application of the rules on calculation of logarithms to compact expressions
e.g.: log (5) + log (4) - log (2) = log (5 * 4/2) = log (10)
• Expand: the opposite of simplify, e.g.: log (x * y/(2z)) = log (x * y) - log (2z) =
log (x) + log (y) - [log (2) + log (z)] = log (x) + log (y) - log (2) - log (z)
• Equations - Easy: equations that simply require the application of the definition of logarithm and application of calculation rules; are solvable in few steps and are an excellent starting point for more difficult equations.
• Equations - Medium: this level presents equations that require a higher number of steps to be resolved. By mastering this level you can achieve medium/good review.
• Equations - Hard: this is a level where logarithmic equations are presented that eventually leads to quadratic equations using a variable substitution, or are tricky. It also present some equations with logarithms to different bases and equations that require an excellent knowledge of the topic. By mastering this level excellent exam results are highly likely :-)
Logarithms Screenshots
Tap to Rate:
Reviews for Logarithms
Larycel
Sloppy
Many exercises contain duplicates of the correct answer and it’s a gamble if you pick the correct one. The same answer listed twice...but only one of them counts as correct.
Jay Juan
Worst app
Fawken useless