About Geometry-Solver
The GeometrySolver is not just an app, its a canvas and a book too.
This app not only solves the geometric shapes, it also teaches you the formulas related to each geometric shape as well as it draws the geometric shapes when solved.
This app is designed by an engineer to the perfection with every details in mind.
It calculates side, height, diagonals, apothem, diameter, radius, perimeter, circumference, area, lateral area, surface area, volume.
Some shapes have a dedicated interactive tab to play around and draw those shapes of different dimensions.
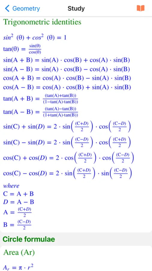
Each geometric shape has its corresponding formulas written beautifully in mathematical way.
This is a perfect app for your kids to learn geometry interactively.
Draw, solve, share the geometric shapes. Drawn/solved shapes are displayed with their properties (numeric values).
The Solve tab of angle is dynamic and interactive. You can touch/drag on the surface to draw an angle or use the slider to draw an angle.
It automatically saves your hard work locally on your device so you can come back and pick up from where you left off as your great effort will not be lost.
There are so many common geometric shapes to learn from like square, circle, cylinder, cone, cuboid, pyramid, sphere and more
There is also a Study page to help you with learning formulae related to many common geometric shapes.
This is an app for all student groups. From high school to college to university students.
Be creative. Enjoy the app!
This app not only solves the geometric shapes, it also teaches you the formulas related to each geometric shape as well as it draws the geometric shapes when solved.
This app is designed by an engineer to the perfection with every details in mind.
It calculates side, height, diagonals, apothem, diameter, radius, perimeter, circumference, area, lateral area, surface area, volume.
Some shapes have a dedicated interactive tab to play around and draw those shapes of different dimensions.
Each geometric shape has its corresponding formulas written beautifully in mathematical way.
This is a perfect app for your kids to learn geometry interactively.
Draw, solve, share the geometric shapes. Drawn/solved shapes are displayed with their properties (numeric values).
The Solve tab of angle is dynamic and interactive. You can touch/drag on the surface to draw an angle or use the slider to draw an angle.
It automatically saves your hard work locally on your device so you can come back and pick up from where you left off as your great effort will not be lost.
There are so many common geometric shapes to learn from like square, circle, cylinder, cone, cuboid, pyramid, sphere and more
There is also a Study page to help you with learning formulae related to many common geometric shapes.
This is an app for all student groups. From high school to college to university students.
Be creative. Enjoy the app!
Geometry-Solver Screenshots
Tap to Rate: