About Logarithmic Identities PRO
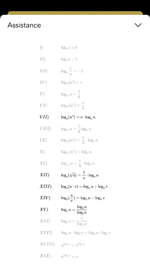
In many cases you can calculate the logarithm by transforming it and changing its shape. This app focuses on the basic operations: addition, subtraction, multiplication, division and changing the base of the logarithm. You need to enter all values and the app shows the usage of certain calculation rules of the logarithm step by step. There you see how the transformation of the logarithm may lead to an easier way of calculation but with the same results. An infographic contains all calculation rules of the logarithm.
Decimals, fractions and negative values are supported. The solution is shown step by step. All calculations are stored in the history. The final solution can be shared.
[ Contents ]
- modes for logarithm (addition, subtraction, multiplication, division, change of base)
- all logarithm values must be entered
- results are calculated and shown in detail
- the application of the transformations of the logarithm
- full list of logarithm rules
- history function to save the input
- detailed solution
- negative values, decimal numbers and fractions are supported
- no ads!
[ Usage ]
- there are fields for entering values using a special keyboard
- press the check mark button at the bottom right to start the calculation
- if values are missing, the relevant field is highlighted in yellow
- if the values are wrong, the affected field will be highlighted in red
- the entries in the history can be deleted or sorted
- if you select an entry in the history, it will be automatically loaded for the calculation
- the whole history can be deleted by pressing a button
- solutions can be shared
- touching the question mark button displays information about the topic
Decimals, fractions and negative values are supported. The solution is shown step by step. All calculations are stored in the history. The final solution can be shared.
[ Contents ]
- modes for logarithm (addition, subtraction, multiplication, division, change of base)
- all logarithm values must be entered
- results are calculated and shown in detail
- the application of the transformations of the logarithm
- full list of logarithm rules
- history function to save the input
- detailed solution
- negative values, decimal numbers and fractions are supported
- no ads!
[ Usage ]
- there are fields for entering values using a special keyboard
- press the check mark button at the bottom right to start the calculation
- if values are missing, the relevant field is highlighted in yellow
- if the values are wrong, the affected field will be highlighted in red
- the entries in the history can be deleted or sorted
- if you select an entry in the history, it will be automatically loaded for the calculation
- the whole history can be deleted by pressing a button
- solutions can be shared
- touching the question mark button displays information about the topic
Logarithmic Identities PRO Screenshots
Tap to Rate: